

Ciencias Agrarias y de la Pesca
Oligosacarinas como bioestimulantes para la agricultura cubana
Oligosacharins as biostimulants for Cuban agriculture
Anales de la Academia de Ciencias de Cuba
Academia de Ciencias de Cuba, Cuba
ISSN-e: 2304-0106
Periodicidad: Cuatrimestral
vol. 11, núm. 1, 2021
Recepción: 11 Mayo 2020
Aprobación: 18 Junio 2020
Descripción del financiamiento: Las investigaciones recogidas en este premio formaron parte de 2 proyecto nacionales, uno del CITMA (PNCT 00300330) y otro del Programa de Alimento Humano (P131LH001160) que aportaron la moneda nacional para salarios y compras menores, sin embargo, el soporte principal de las investigaciones se realizó con el apoyo de un proyecto de la Fundación Internacional para la Ciencia (International Foundation for Science-IFS F-4446 2F) de Suecia, utilizando equipamiento y reactivos adquiridos mediante un proyecto AECI (España) de 2012, con equipamiento del crédito Chino aportado por el MES y con financiamiento del royalty recibido por el INCA del licenciamiento del know-how de un biofertilizante a la empresa argentina Rizobacter, S.A.
Resumen: Introducción: Las oligosacarinas son poli- y oligosacáridos de origen vegetal, microbiano y animal con actividad biológica en las plantas como la promoción del crecimiento y desarrollo y la protección antiestrés. Sin embargo, pueden obtenerse también, a partir de subproductos agrícolas y desechos contaminantes de la pesca, presentes, además, en materias primas comerciales. Métodos: En este trabajo, formulaciones nacionales de oligogalacturónidos (de pectina cítrica), quitosanos (de exoesqueleto de crustáceos) y lipo-quitin oligosacáridos (excretados al medio de cultivo por Rizobios). Resultados: Incrementaron el crecimiento y los rendimientos en cultivos importantes tales como, hortícolas (tomate, pimiento, pepino), tubérculos como la papa y granos como el frijol; mejoraron su comportamiento para afrontar estreses bióticos causados por patógenos fungosos (Phytophthora nicotianae) y abióticos como el déficit hídrico, la salinidad y el estrés por metales pesados, y permitieron reducir la fertilización química en el frijol. Conclusión: Esos resultados alcanzados apoyaron el desa- rrollo y registro de 3 nuevos bioestimulantes que fueron introducidos y extendidos entre los productores cubanos.
Palabras clave: quitosano, oligogalacturónidos, lipo-quiti- noligosacáridos, rendimientos, estrés .
Abstract:
Introduction: Oligosaccharins are poly and oligosaccharides from plant, microbial and animal origin with biological activity in plants as growth and development promotion and anti-stress protection. However, they can be, also, obtained starting from agricultural by-products and polluting fish wastes present in commercial raw materials. Methods: In this work, national for- mulations of oligogalacturonides (from citric pectin), chitosans (from crustacean exoskeletons) and lipochitinoligosaccharides (excreted to the culture medium by Rhizobia), Results: Increased growth and yield in important crops such as, horticultural (tomato, pepper, cucumber), tubers as potato, and grains as beans. They also enhance plant behavior to afford biotic stress, caused by fungal pathogens (Phytophthora nicotianae) and abiotic stress such as drought, salinity, and heavy metal and they allow reducing chemical fertilization in bean. Conclusion: Those results achieved, supported the development and registration of three new biostimulants that were introduced and extended among Cuban producers.
Keywords: chitosan, oligogalacturonides, lipo-chiti- noligosaccharides, yield, stress .
INTRODUCCIÓN
Las oligosacarinas (OGA) son poli y oligosacáridos de diferente estructura y origen, que se caracterizan por causar respuestas biológicas en las plantas, relacionadas con el crecimiento, el desarrollo y la protección contra estreses bióticos y abióticos. Informadas hace más de 30 años como componentes de las paredes celulares de plantas y hongos, por razones prácticas, sus fuentes actuales de obtención la constituyen los subproductos de la industria citrícola y de la pesca de crustáceos. (1, 2)
Entre las OGA, los oligosacáridos pécticos (u oligogalac- turónidos) presentes en la estructura péctica de las paredes celulares de las plantas pueden obtenerse de la pectina cítrica comercial, mediante hidrólisis ácidas y enzimáticas y los oligosacáridos resultantes, con tamaños entre 3 y 20 residuos de galactosa, se han informado con actividad promotora del crecimiento, del enraizamiento, la sustitución de hormonas en el cultivo in vitro y el aumento de los rendimientos mediante aplicación exógena a los cultivos. (2,3,4)
El quitosano es un reconocido bioestimulante agrícola de origen natural, no tóxico a los cultivos y biodegradable.(5,6) Es un polímero lineal de glucosamina soluble en ácidos diluidos, lo cual le permite su utilización en la agricultura. En esta rama, el polímero de quitosano y sus derivados de me- nor masa molar, pueden tener una amplia aplicación, a partir de las potencialidades biológicas que se les han demostrado a estos compuestos, como son, una importante actividad antimicrobiana sobre el crecimiento y desarrollo de hongos, bacterias y oomycetes, la inducción de resistencia en plantas contra patógenos potenciales y la promoción del crecimiento y desarrollo de múltiples cultivos. (6,7,8)
A diferencia de las OGA anteriores, los factores de nodulación son estructuras sintetizadas y excretadas por bacterias de la familia Rizobiaceae durante la simbiosis que establecen con leguminosas. En el intercambio de señales que ocurre entre ambos simbiontes, los factores de nodulación provocan
cambios en las células corticales de las raíces que terminan en la formación del nódulo, en el cual se establecerá el microorganismo para fijar el nitrógeno atmosférico. De esta forma, una adecuada inclusión de inductores en el medio de cultivo de estas bacterias permite aumentar la excreción de factores de nodulación al medio y potenciar la fijación biológica de nitrógeno. (9)
Dado el contexto actual de la agricultura cubana, es de gran importancia contar con productos de origen natural, no tóxicos, que se obtengan de materias primas nacionales, mediante metodologías que reduzcan los costos de producción y aumenten los rendimientos en igual área cultivable y con las mismas o menores aplicaciones de fertilizantes y plaguicidas químicos importados a precios elevados. Por lo anterior, el Grupo de Productos Bioactivos (GPB) del Instituto Nacional de Ciencias Agrícolas (INCA), en colaboración con grupos de investigación de otras universidades del país, se propusieron el diseño y desarrollo de bioestimulantes microbianos y no microbianos, a base de oligosacarinas, para cultivos de importancia nacional como hortalizas, tubérculos y granos.
Por lo anterior, en este trabajo se resumen los principales resultados que permitieron demostrar las potencialidades de los oligogalacturónidos, los quitosanos y los factores de nodulación, como estimuladores del crecimiento y del rendimiento de los cultivos; así como su efectividad como protectores de las plantas ante condiciones de estrés, lo cual permitió el desarrollo, la validación, extensión, generalización y el registro de los productos Pectimorf®, Quitomax® y Azofert-F® en la agricultura cubana.
MÉTODOS
Oligosacarinas como estimuladoras del crecimiento y del rendimiento de las plantas
Efecto del quitosano en el crecimiento de posturas de tomate. A partir de experimentos realizados en condiciones controladas con la variedad Amalia, donde se evaluaron cuatro y ocho horas de imbibición de las semillas en diferentes soluciones de quitosano, cuyos resultados indicaron que podía reducirse el tiempo de imbibición,(10,11) se estudió la imbibición de semillas de la variedad Hazare 3019 durante dos horas en soluciones de Quitomax® (formulado a base de polímeros de quitosano y sales de formulación) a concentraciones de 0, 0,1, 0,5 y 1 g L-1 (VA) y se colocaron en placas de Petri con papel de filtro húmedo a pregerminar, en condiciones de oscuridad, durante 72 h. Transcurrido este tiempo, las semillas germinadas se transfirieron a recipientes (2 semillas por envase para un total de 26 envases por tratamiento) conteniendo humus de lombriz como sustrato. Las plantas se cultivaron en cámara de crecimiento (25 ºC de temperatura, 50 % de hume- dad relativa y 16/8 horas de luz/oscuridad) durante 30 días. Quince días después de la siembra, se realizó una aspersión foliar de las mismas soluciones a la mitad de las plantas (VB), a razón de 10 mL por tratamiento. A los 30 días de efectuada la siembra (dds) se determinaron indicadores del crecimiento del cultivo: número de hojas, altura (cm), diámetro del tallo (cm), longitud radical (cm), masa seca aérea (g) y el área foliar (cm2), así como el contenido de clorofilas totales (Spad). El ex- perimento se repitió dos veces y se muestran los datos de la segunda repetición. Estos datos se sometieron a un análisis de varianza simple. Las medias se compararon mediante la Prueba de Rangos Múltiples de Tukey HSD para p <0,05.
Influencia del quitosano (Quitomax®) en el rendimien- to de diferentes cultivos hortícolas.
Las investigaciones se realizaron en condiciones de campo en: tomate (Solanum ly- copersicum, L.), pepino (Cucumis sativum L.) y pimiento (Cap- sicum annuum L.), en variedades e híbridos de alta incidencia en la agricultura nacional e internacional (Amalia, Bolívar, H 3108, HA 3019, Mara, L-43, Vyta, Pomodoro, Floradade, California wonder, Lical e Inivit). Se determinaron las dosis que beneficiaban el desarrollo y rendimiento de los cultivos entre 200-400 mg ha-1. Se utilizaron diseños de Bloques al Azar y análisis de varianza y comparación de medias por las Prue- bas de Duncan o Tukey (p <0,05).
Influencia del quitosano en el desarrollo y el rendimien- to de los cultivos de papa y frijol.
Las investigaciones se realizaron en condiciones de campo utilizando derivados de quitosano de diferente masa molar (124, 66 y 13,2 KDa) con el objetivo de conocer la influencia de esta característica física en el rendimiento de papa para consumo y para semilla, ade- más de diferentes dosis con uno de los derivados con el objetivo de definir la dosis y aplicación óptima de Quitomax para recomendar en papa y frijol. Se realizaron diseños de Bloques al Azar y las medias se compararon de acuerdo a la Prueba de Rangos Múltiples de Duncan o Tukey (p <0,05). Los tratamientos para definir dosis en papa y frijol se ilustran en la tabla 1.
| Tratamientos en papa | Tratamientos en frijol |
| T1: Control | T1: Control |
| T2: 100 mg ha-1, 30 días después de la plantación | T2: 200 mg ha-1, 20-25 días postsiembra |
| T3: 300 mg ha-1, 30 días después de la plantación | T3: 400 mg ha-1, 20-25 días postsiembra |
| T4: 500 mg ha-1, 30 días después de la plantación | T4: 600 mg ha-1, 20-25 días postsiembra |
| T5: 100 mg ha-1, 50 días después de la plantación | T5: 200 mg ha-1 al inicio de la floración |
| T6: 300 mg ha-1, 50 días después de la plantación | T6: 400 mg ha-1 al inicio de la floración |
| T7: 500 mg ha-1, 50 días después de la plantación | T7: 600 mg ha-1 al inicio de la floración |
| T8: 50 mg ha-1, 30 días y 50 mg ha-1, 50 días después de la plantación | T8: 100 mg ha-1, 20-25 días y 100 mg ha-1 al inicio de la floración |
| T9: 150 mg ha-1, 30 días y 150 mg ha-1, 50 días después de la plantación | T9: 200 mg ha-1, 20-25 días y 200 mg ha-1 al inicio de la floración |
| T10: 250 mg ha-1, 30 días y 250 mg ha-1, 50 días después de la plantación | T10: 400 mg ha-1, 20-25 días y 400 mg ha-1 al inicio de la floración |
Oligosacarinas en la interacción simbiótica Rhizobium-frijol común
Se utilizó la cepa simbionte de frijol Rhizobium legumino- sarum, inducida con genisteína a una concentración final de 5 µM. Se determinaron las moléculas señales producidas a partir de la fracción lipídica, extraídas con n-butanol y anali- zadas por diferentes técnicas cromatográficas: TLC, HPLC y GC-MS. Se evaluó, además el impacto de esa inducción en el efecto del inóculo sobre plantas de frijol común en condicio- nes controladas.
Oligosacarinas como protectoras de plantas sometidas a estrés biótico
Plantas jóvenes de tabaco y tomate fueron asperja- das foliarmente con oligogalacturónidos (Pectimorf 0,05 y 0,5 g L-1) y quitosano (0,1, 1 y 2,5 g L-1), respectivamente, a razón de 1 mL por planta, 72 h antes de colocarse en presen- cia del patógeno en un bioensayo de infección descrito por Falcón-Rodríguez et al.(12) Se determinó el porcentaje (%) de infección a los cuatro días de colocadas las plantas en el pa- tógeno de acuerdo a la escala descrita. Los datos de infección obtenidos en 15 plantas por tratamiento se procesaron con la prueba no paramétrica de Kruskal-Wallis y la de Mann-Whitney con corrección de
Bonferroni, p <0,05. Se calculó el índice de infección: I.I. = [Σ (G x F)/N x 5] x 100. (12) Adicionalmente, se determinaron indicadores enzimáticos de resistencia a patógenos. Las determinaciones de fenoles y flavonoides,(13) se realizaron a los tres y siete días después de la aspersión foliar (dda), lo que coincidió con el momento previo a colocar las plántulas en el patógeno y a los cuatro días posteriores.
Oligosacarinas y sus efectos en plantas sometidas a estreses abióticos
Las investigaciones se realizaron en condiciones controladas y de campo y mediante la aplicación a la semilla, foliar o al sustrato de crecimiento (este último solo en el estrés por metales pesados) de oligogalacturónidos (Pectimorf®), quitosano (Quitomax®) y lipo-quitinoligosacáridos (Azofert-F®) en diferentes concentraciones relacionadas con su acción bioestimulante. Se utilizaron diseños completamente aleatorizados o de Bloques al Azar (experimentos de campo) y las medias se analizaron por las Pruebas de Rangos Múltiples de Duncan o Tukey para p ˂0,05 o se presentaron con los interva- los de confianza.
RESULTADOS Y DISCUSIÓN
Oligosacarinas como estimuladoras del crecimiento y el rendimiento en plantas
Se demostró la acción bioestimulante del quitosano y el formulado Quitomax® mediante el tratamiento de semillas y la aspersión foliar en diferentes especies.
La imbibición de las semillas por dos horas en las solucio- nes de quitosano mostró un efecto bioestimulante en plántu- las de tomate, respecto al control embebido en agua, en las variables número de hojas, diámetro del tallo, altura, masa seca aérea y área foliar (tabla 2). La altura de las plantas en el tratamiento de 1 g L-1, superó en un 57 % al control, mientras que las concentraciones de 0,5 y 1 g L-1 de Quitomax®, provocaron incrementos en la masa seca aérea de, aproximadamente, 59 y 129 %, respectivamente. De igual manera, los aumentos en el área foliar con ambas concentraciones fueron de más del 90 %. La aspersión foliar a los tratamientos embebidos no mejoró el efecto de la imbibición.(14)
Los incrementos en los indicadores de crecimiento des- critos están relacionados con la estimulación de diferentes procesos fisiológicos en la planta. De esta forma, aumentos de hasta el 24 % en el área foliar y del 12 % en el contenido de clorofilas obtenidos con 1 g L-1 a los 15 dds (datos no mostrados), pudieron ser responsables del incremento del 95 % de la masa seca aérea de las posturas a los 30 dds. Lo anterior justifica un aumento del crecimiento en las posturas como resultado de un mayor aporte fotosintético, como ha sido informado en trabajos anteriores con quitosano. (15)
Los resultados del tratamiento de semillas en el crecimiento de las posturas en condiciones semicontroladas fueron confirmados en estudios a nivel de semillero a escala de campo en la variedad Mara. La imbibición por media hora de las con- centraciones entre 0,1 y 1 g L-1 produjeron incremento de las variables de crecimiento (calidad) de las posturas desde los 10 días posteriores a la germinación (resultados no mostrados). El tratamiento con 0,5 y, en particular con 1 g L-1, causaron au- mentos entre 20 y 30 % de la altura, diámetro del tallo, longitud radical y número de hojas en las posturas, lo que permitió una reducción del tiempo de semillero (adelanto para el trasplante), lo cual repercute positivamente en los costos de producción.(16) Este resultado, de gran importancia en semilleros de hortícolas, fue validado con éxito en organopónicos y áreas de campo de las provincias de Mayabeque, La Habana y Granma, con el formulado Quitomax® (RFC No. 010/17).
A escala de campo se determinaron las mejores dosis y momentos de aplicación foliar del Quitomax® que benefician el rendimiento en tomate, pepino, pimiento, papa y frijol. Estos experimentos se realizaron en diferentes variedades, suelos y localidades. Se demostró que las aplicaciones a hortícolas con dosis entre 300 y 400 mg ha-1 a los 7-10 días después del trasplante mejoraron las variables reproductivas y aumentaron el rendimiento entre 30 y 70 % en condiciones de campo,(17,18,19) con mejores resultados cuando se combinó con el tratamiento de imbibición de las semillas (1 g L-1) previo a la siembra (tabla 3).(16) El aumento de rendimiento incluyó mejora en la calidad comercial y el contenido antioxidante de los frutos, como se demostró en tomate y pimiento. (20,21)
Analizando de conjunto los resultados del estudio en la capacidad bioestimulante del quitosano, se propuso una metodología de aplicación del Quitomax® en tomate y otras hortícolas en las cuales se establece previamente semillero: Imbibición de semillas previo a la siembra con 1 g L-1, seguido de una o dos aplicaciones foliares de 300-400 mg ha-1, de una semana a 10 días postrasplante o en la prefloración.
En varios de los experimentos de campo realizados en condiciones de producción en las tres especies se realizó un análisis económico, incluyendo costos de aplicación del producto, obteniéndose en cada caso, aumento de las ganancias cuando se aplicó el Quitomax®, con un costo beneficio positivo para el productor y por encima del tratamiento control. (17,18,22)
Los resultados de los diferentes experimentos en el cultivo de la papa demostraron que la aspersión foliar de 150 mg ha-1, a los 30 y 50 días de la plantación, causó las mejores respuestas de crecimiento y del rendimiento (Figura 1) con un incremento promedio de 3 t ha-1 (23) y mejorando la calidad
comercial de los tubérculos que además fueron influidos por
la masa molar del quitosano utilizado(24)Se demostró, además, que la aplicación del quitosano ocasionó cambios en la distribución de tamaños de los tubérculos, beneficiando el tamaño óptimo para semilla (35-45 mm) respecto al control (datos no mostrados). Esto se logró a los 65 días después de plantados, lo cual, resulta de gran importancia ya que una menor permanencia del cultivo en el campo conlleva a un ahorro importante de recursos. (25)
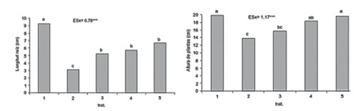
En el cultivo del frijol, dos aplicaciones de 200 mg ha-1 a los 20-25 días de la siembra y en floración (Figura 2) fue el mejor resultado para aumentar el número de hojas, de vainas y el rendimiento del cultivo. (26)
Los resultados en las especies antes mencionadas fue- ron confirmados en campos controles y extensiones en las principales provincias productoras de papa, tomate y granos del país en diferentes variedades e híbridos.
El modo de acción a través del cual las oligosacarinas promueven el crecimiento y desarrollo en las plantas no está bien definido. Sin embargo, se conoce que activan respuestas como la estimulación de enzimas relacionadas con el metabolismo primario (nitrato reductasa), el aumento del contenido de nu- trientes, metabolitos primarios y secundarios, incremento en la concentración de pigmentos fotosintéticos y del proceso de fotosíntesis. Así como la promoción de un efecto antitranspirante
| Quitomax® (g L-1) | No. hojas | Diám. tallo (cm) | Altura (cm) | Long. radical (cm) | MS aérea (g) | Área foliar (cm2) |
| 0 | 5,31 c | 0,40 bc | 13,96 c | 13,32 a | 0,305 cd | 102,2 b |
| 0,1 (VA) | 5,44 bc | 0,38 bc | 12,39 c | 11,52 ab | 0,235 d | 130,22 b |
| 0,5 (VA) | 6,25 ab | 0,38 bc | 18,02 b | 12,83 a | 0,484 ab | 196,92 a |
| 1,0 (VA) | 6,62 a | 0,48 a | 24,53 a | 13,50 a | 0,698 a | 195,64 a |
| 0,1 (VB) | 5,56 bc | 0,36 c | 14,62 c | 10,45 b | 0,377 bcd | 143,12 b |
| 0,5 (VB) | 5,94 abc | 0,38 bc | 17,52 b | 12,41 ab | 0,309 cd | 125,3 b |
| 1,0 (VB) | 6,19 abc | 0,42 b | 18,99 b | 12,31 ab | 0,466 abc | 152,4 b |
| ESx | 0,21 | 0,13 | 0,54 | 0,47 | 0,04 | 9,056 |
| Cultivo | Variedad | Dosis usadas (mg ha-1) | Efecto causado | Referencia |
| Tomate | Mara | 0,1, 0,5 y 1 g L-1 a la semilla más 300٭ foliar | Aumento de rendimientos entre 48 y 55% con la combinación | 16 |
| H 3108 | 250-350٭ | Aumento del rendimiento de 55% | 17 | |
| Floradade | 100, 200 y 300٭ | Aumento de rendimientos entre 15 y 35 % | 19 | |
| Pomodoro | 100, 200, 300٭, 400٭ | Aumentos de 30 y 45% en rendimiento y calidad de la fruta | 20 | |
| Pimiento | California wonder | 200, 250, 300, 350٭ | Aumento de 100 % del rendimiento con 350 | 18 |
| Lical | 200, 300٭, 400 | Aumento del 60 % del rendimiento con 300 y de calidad y actividad antioxidante | 19 | |
| Pepino | Inivit | 200, 300, 350, 400٭ | Aumento del 23 % del rendimiento con 400 | 22 |
mediante el cierre estomático por acción directa en los niveles de ácido abscísico de las células acompañantes de los estomas, que conlleva a un mejor uso del agua en la planta; entre otras.(15,27,28) En este trabajo se determinaron indicadores que justifican el beneficio del proceso fotosintético, del aumento de la calidad nutricional y de la acción antioxidante de especies hortícolas.(14,19,21) Por otra parte, aunque ha sido informado previamente el aumento de rendimientos con aplicación de quitosano en varios cultivos de interés, (4,6,29) por primera vez, se demuestra el efecto de dosis mucho más bajas (mg ha-1) que las informadas en la literatura (g a kg ha-1), lo que indica, en el caso de los resultados propuestos, más una acción hormonal u oligosacarínica de estos compuestos y resulta fundamental en el desarrollo de formulaciones factibles y competitivas.
Oligosacarinas en la interacción simbiótica Rhizobium-frijol común
El estudio de las señales producidas por inóculos de Rhizobium, mediante diferentes métodos cromatográficos (datos no mostrados), demostró la presencia de factores de no-
dulación (Nod) y de otros componentes de naturaleza lipídica como los ácidos grasos, en mayor diversidad y concentración en el inoculante inducido para frijol, lo que se traduce en una mayor actividad biológica de este bioproducto sobre las plantas.(9) Este resultado permitió el desarrollo de un nuevo bio- fertilizante para frijol (Azofert-F®: RFC 002/17), potenciado con la síntesis de estas oligosacarinas. Su empleo en campo garantiza entre el 40 y el 70 % del nitrógeno que requiere esta leguminosa para su crecimiento y rendimiento, lo que disminuye los niveles de contaminación al suelo y las aguas por exceso de fertilizantes químicos. (30)
Oligosacarinas como protectoras de plantas sometidas a estrés biótico.
Los oligogalacturónidos y los derivados de quitosano inducen respuestas defensivas y resistencia en plantas contra microorganismos patógenos. (4,8) En este trabajo se informó, por primera vez, la activación de resistencia sistémica inducida por Pectimorf® y Quitomax® en posturas de tabaco y tomate, respectivamente, contra el patógeno Phytophthora nicotianae, causante de la Pata prieta en semilleros de ambas especies (tabla 4). Se demostró, además, que


la resistencia obtenida en ambos casos fue el resultado de la activación de indicadores enzimáticos y del metabolismo secundario en las plantas, previo a la interacción con el patógeno, proceso crucial para la elevación de resistencia basal que detiene la infección (datos no mostrados). (14,31) La acción bioprotectora del Quitomax® en posturas de tomate fue va- lidada en la producción de posturas para tomate de cultivo protegido en el organopónico Vivero Alamar, con resultados positivos en la reducción de enfermedades fungosas, lo que influyó en mayores rendimientos en la plantación.
Oligosacarinas y sus efectos en plantas sometidas a estreses abióticos
Se demostró que el tratamiento durante 24 horas, a las semillas de arroz INCA LP-5 e INCA LP-7 con quitosano
| Tratamientos | Media de rangos | Índice de infección (%) |
| Control inoculado | 34,54 b | 100 |
| Quitosano 0,1 g L-1 | 18,67 a | 54,05 |
| Quitosano 1,0 g L-1 | 17,79 a | 51,50 |
| Quitosano 2,5 g L-1 | 27,00 ab | 78,20 |
*Los resultados se muestran como las medias de rangos en la Prueba no paramétrica de Kruskal–Wallis y como el índice de infección para cada tratamiento. Medias con diferentes letras muestran diferencias entre tratamiento en el test de Mann-Whitney con la corrección de Bonferroni (p<0,05).
| Tratamientos | Longitud (cm) | Masa seca (mg planta-1) | ||
| Parte aérea | Raíces | Parte aérea | Raíces | |
| Imb. Agua + SN (Control) | 19,4 a | 8,1 a | 9,9 ab | 6,1 ab |
| Imb. Agua + SN + NaCl | 12,4 d | 6,8cd | 9,2 b | 5,5b |
| Imb. Pm 10 mg L-1 + SN + NaCl | 14,6bc | 7,1bc | 11,2 a | 5,9 ab |
| Imb. Pm 20 mg L-1 + SN + NaCl | 14,9bc | 8,0ab | 11,0 a | 6,3 a |
| Imb. Agua+ SN + Pm 10 mg L-1+NaCl | 14,2 c | 6,4 cd | 10,9 a | 6,2 ab |
| Imb. Agua+ SN + Pm 20 mg L-1+NaCl | 15,8 b | 6,1 d | 11,1 a | 5,9ab |
| E.S.x | 0,37* | 0,25* | 0,30* | 0,18* |
(100 mg L-1) (datos no mostrados) o con una mezcla de oligo- galacturónidos (20 mg L-1) (tabla 5), respectivamente, estimuló el crecimiento de las plántulas de arroz en medio salino y la respuesta en ambos casos estuvo acompañada de un menor daño oxidativo. (32,33)
De igual forma, se constató en el cultivo del frijol, que dos aspersiones foliares con Quitomax® (tabla V) a razón de 200 mg ha-1 cada una (34,35) o con Pectimorf® (tabla 6) a 150 mg ha-1 (36) fueron capaces de mitigar los efectos adversos que el déficit hídrico provoca en el crecimiento de las plantas y en la producción de granos.
En la tabla 6 se muestran los resultados de la influencia del Quitomax® en los indicadores del crecimiento, evaluados a los 42 días y del rendimiento de plantas de frijol sometidas a dos regímenes de riego. Se puede apreciar que las dos aspersiones foliares efectuadas con este polímero fueron capaces de estimular la masa seca total, el área foliar y el rendimiento de las plantas de frijol, independientemente, del régimen de riego a que estén sometidas.
La estimulación en el crecimiento que presentaron las plantas tratadas con Quitomax® y sometidas a déficit hídrico pudo estar relacionada con un mejor estado hídrico de las plantas, el cual se reflejó en un contenido relativo de agua, un potencial hídrico y de turgencia superiores; así como una mayor conductancia estomática en comparación con las plantas es- tresadas no asperjadas. También, pudo estar influido por el mayor contenido de pigmentos fotosintéticos encontrado. (34,35)
A diferencia del resultado anterior, en el caso de las aspersiones foliares con Pectimorf®, la influencia de estas en el rendimiento y sus componentes solamente se obtuvo en las plantas sometidas a déficit hídrico (tabla 7), aspecto en el cual es necesario continuar profundizando (36) ya que, algunos autores han informado la capacidad de esta mezcla de oligo- galacturónidos de estimular el crecimiento y el rendimiento de los cultivos. (37,38) En cuanto al estrés por metales pesados, los resultados evidenciaron que el tratamiento a las semillas con la mezcla de oligogalacturónidos contrarrestó el efecto de la toxicidad por Cu2+ en plántulas de tomate (figura 3) y produjo cambios en el patrón de acumulación de dicho metal en el suelo. (39)
Esta mezcla de oligogalacturónidos posee características estructurales y propiedades que le permitió retener iones metálicos y modificar la distribución de los cationes Fe2+, Cd2+ y Cu2+ en el suelo; por lo que la aplicación de la misma en diferentes formas y combinaciones no solo modificó la biodisponibilidad de dichos cationes en un suelo contaminado, sino que además favoreció el proceso de fitoextracción por plantas de tomate y estimuló la producción de biomasa sin manifestación visual de toxicidad en las plantas. (40,41)
| Tratamientos | Masa seca total (g) | Área foliar (cm2) | No. vainas planta-1 | No. granos vaina-1 | Rendimiento (kg m-2) |
| R100 | 7,71±0,51 | 1 781,02 ±37,95 | 7,74±0,04 | 5,03±0,01 | 337,64±14,28 |
| R100+ Quitomax® | 10,68±0,27 | 1 872,82 ±34,56 | 8,18±0,06 | 5,18±0,02 | 404,89±10,44 |
| R50+ Quitomax® | 10,73±0,37 | 1 752,14 ±68,00 | 5,74±0,04 | 4,05±0,02 | 260,65 ±8,64 |
| R50 | 8,99 ±0,24 | 1 482,36 ±47,99 | 4,48±0,03 | 3,74±0,01 | 166,13 ±3,19 |

| Tratamientos | No. vainas planta-1 | No. granos vaina-1 | No. granos planta-1 | Rendimiento (kg m-2) | |
| R100 | 7,76±0,30 | 5,04±0,08 | 39,1±1,3 | 0,285±0,010 | |
| R100+Pectimorf® | 6,00±0,16 | 4,24±0,09 | 25,4±1,0 | 0,187±0,007 | |
| R50+Pectimorf® | 5,53±0,28 | 3,67±0,09 | 20,3±1,3 | 0,147+0,006 | |
| R50 | 5,16±0,18 | 3,37±0,07 | 17,4±0,4 | 0,120±0,003 |
En otro resultado, la presencia de factores Nod en inoculantes inducidos incrementó la nodulación y el contenido de N total en las plantas de soya bajo estrés hídrico (datos no mostrados). (42)
Conclusiones
Los resultados de estas investigaciones aportan basamentos científicos que contribuyen a conocer los mecanismos de acción de las oligosacarinas en plantas de interés
económico. Se demuestra la actividad biológica de estos compuestos en el crecimiento, desarrollo y rendimiento de diferentes cultivos, su participación en la simbiosis Rhizo- bium-leguminosas, así como su papel en la mitigación de efectos adversos del estrés biótico y abiótico. Se definen do- sis y modos de aplicación efectivos para su aplicación. La exitosa validación, introducción, extensión, y en algunos casos generalización de estos resultados en la práctica productiva, permitió el Registro de tres nuevos productos bioestimulantes
(Pectimorf®, Quitomax® y Azofert-F®) en el Registro Central de Fertilizantes de Cuba, que incrementan los rendimientos, sustituyen fertilizantes y plaguicidas, a la vez que muestran protección de las plantas ante el cambio climático, con la correspondiente disminución de los costos de producción. Su naturaleza inocua y biodegradable, así como la posibilidad de sustituir productos contaminantes, le confieren un impacto ambiental positivo.
Agradecimientos
Este premio fue el resultado de investigaciones colaborativas entre varios grupos de trabajo de varias instituciones y universidades cubanas y extranjeras. Además de los autores que se presentan, queremos agradecer el trabajo realizado por otros 23 investigadores, profesores y técnicos cubanos y de otros países que participaron como colaboradores del mismo. Conflictos de interés No existen conflictos de intereses entre los autores respecto a las investigaciones realizadas, los resultados alcanzados y el grado de participación.
Referencias
Albersheim, P. and Darvill, A.G. 1985. Oligosaccharins. Sci. Am. 253 (3): 58-64.
Cabrera J. C., Nápoles, M.C., Falcón, A.B. Costales, D., Diosdado E., González S., González L., González G., Rogers H.J., Cabrera G., Wégria G., Onderwater R., Wattiez, R. (2013) Practical use ofoligo- saccharins in agriculture. Acta Horticulturae, 1009: 195-212
Ridley, B.L., O’Neill, M.A. and Mohnen, D. (2001) Pectins: Struc- ture, Biosynthesis, and Oligogalacturonide-Related Signaling. Phytochemistry, 57, 929-967. http://dx.doi.org/10.1016/S0031- 9422(01)00113-3
Falcón-Rodríguez, A.B., Costales, D., González-Peña, D. Nápoles, M.C. (2015a) Nuevos productos naturales para la agricultura: Las Oligosacarinas. Cultivos Tropicales, Vol. 36 (No. especial): 11-129
du Jardin, P. Plant biostimulants: Definition, concept, main cate- gories and regulation Scientia Horticulturae, 196: 3–14, 2015.
Pichyangkuraa, R. Chadchawan, S. (2015) Biostimulant activity of chitosan in horticulture. Scientia Horticulturae 196: 49–65
Badawy, M. E. I. y Rabea, E.I. ‘‘A Biopolymer Chitosan and Its De- rivatives as Promising Antimicrobial Agents against Plant Pa- thogens and Their Applications in Crop Protection’’. International Journal of Carbohydrate Chemistry, vol. 2011, 2011, p. 29, ISSN 1687-9341, DOI 10.1155/2011/460381.
Falcón-Rodríguez, A.B., Wégria G., Cabrera J.C. Chapter 7: “Exploi- ting plant innate immunity to protect crops against biotic stress: Chitosaccharides as natural and suitable candidates for this pur- pose”, publicado en “Plant Protection”, ISBN 979-953-307-548-7, 2012, Editorial Intech
Nápoles, M.C., Cabrera, J.C., Onderwater, R., Wattiez, R., Hernández, I., Martínez, L., Núñez, M.C. Señales producidas por Rhizo- bium leguminosarum en la interacción con frijol común (Phaseo- lus vulgaris L.). Cultivos Tropicales, 37 (2): 37-44, 2016.
Martínez, L., Castro, I., Díaz, L., Núñez, M. Influencia del tratamiento de semillas con quitosana en el crecimiento de plantas de tomate (Solanum lycopersicum L.) Cultivos Tropicales, vol. 28 (4): 79-82, 2007.
González Peña, D., Costales, D., Falcón-Rodríguez, A.B. Influencia de un polímero de quitosana en el crecimiento y la actividad de enzi- mas defensivas en tomate. Cultivos Tropicales, 35 (1): 35-42, 2014.
Falcón-Rodríguez, A.B., Costales, D., Cabrera, J.C., Martínez-Té- llez, M.A. (2011) Chitosan physico–chemical properties modula- te defense responses and resistance in tobacco plants against the oomycete Phytophthora nicotianae, Pestic. Biochem. Physiol., 100 (3): 221-228
Singleton VL, Orthofer R and Lamuela-Raventos RM. (1999) Analysis of total phenols and other oxidation substrates and an- tioxidants by means of Folin-Ciocalteu reagent. Methods Enzy- mol, 299: 152-177.
Falcón-Rodríguez, A.B., González-Peña, D., Costales, D., Morales, D., Travieso, L., Terry, E., Ruiz, J., González, L.G., Jiménez, M.C., Martínez-Téllez, M.A. Avances en las investigaciones conducentes a la implementación del QuitoMax® en el cultivo del tomate. Agrotecnia de Cuba, vol. 39 (1), 2015b
Dzung, N.A. Enhancing crop production with chitosan and its de- rivatives. En: ed. Se-Kwon K., Chitin, chitosan, oligosaccharides and their derivatives: biological activities and applications, Ed. Taylor & Francis, Boca Raton, 2011, pp. 619-631, ISBN 978-1- 4398-1603-5.
Terry-Alfonso, E., Ruiz-Padrón, J., Falcón-Rodríguez, A., Carrillo-Sosa, Y., Morales-Morales, H. Respuesta agronómica del culti- vo de tomate al bioproducto Quitomax®. Cultivos Tropicales, vol. 38 (1): 7-13, 2017.
Jiménez, M.C., Terrero, J.C., González, L.G., Paz, I., Falcón-Rodríguez, A.B. Evaluación de la aplicación de quitosana sobre parámetros agronómicos del cultivo de tomate H-3108 en casas de cultivo protegido. Centro Agrícola, 42 (3): 81-88; 2015.
Jiménez, M.C., González, L.G., Suárez, M. Paz, I. Oliva, A. Fal- cón-Rodríguez, A.B. Respuesta agronómica del pimiento California Wonder a la aplicación de Quitomax®. Centro Agrícola, vol.45, (2) 40-46, 2018.
Enríquez, E.A., Reyes J.J., Ramírez, M.Á. Rodríguez, A.T. Fal- cón-Rodríguez, A.B. Revista de la Facultad de Agronomía de la Universidad del Zulia, Vol 35. 2018. Aplicación de Quitomax® en el cultivo de tomate (S. lycopersicum L.) y evaluación de su efecto en el rendimiento y el valor nutricional.
Reyes-Pérez, J.J., Enríquez-Acosta, E.A., Murillo-Amador, B., Ramírez-Arrebato, M.A., Rodríguez-Pedroso, A.T., Lara-Capistrán, L., Hernández-Montiel, L.G. Physiological, phenological and productive responses of tomato (S. lycopersicum L.) plants treated with QuitoMax®. Ciencia e Investigación Agraria, 45 (2): 93-98, 2018.
Reyes-Pérez, J.J., Enríquez-Acosta, E.A., Ramírez-Arrebato, M.A., Rodríguez-Pedroso, A.T., Lara-Capistrán, L., Hernández-Montiel, L.G. Evaluation of the growth, yield and nutritional quality of pepper fruit with the application of Quitomax®. Cien. Inv. Agr. 46 (1): 277-289, 2019
González, L.G., Jiménez, M.C., Castillo, D., Paz, I, Cambara, A.Y., Falcón-Rodríguez, A.B. Respuesta agronómica del pepino a la aplicación de QuitoMax® en condiciones de organoponía. Centro Agrícola, Vol.45, No.3, 27-31, 2018.
Morales, D.; Torres, Ll.; Jerez, E.; Falcón-Rodríguez, A.B. Dell’ Ami- co, J. Efecto del QuitoMax en el crecimiento y rendimiento del cultivo de la papa (Solanum tuberosum L). Cultivos Tropicales, 2015, vol. 36 (3): 133-143
Falcón-Rodríguez, A. B.; Costales, D.; González-Peña, D.; Mora- les, D.; Mederos, Y.; Jerez, E.; Cabrera, J. C. (2017). Chitosans of different molecular weight enhance potato (Solanum tube- rosum L.) yield in a field trial. Spanish Journal of Agricultural Research, Volume 15, Issue 1, e0902. https://doi.org/10.5424/ sjar/2017151-9288
Jerez, E., Morales, D., Dell Amico, J., Falcón, A. El quitomax® influye en la producción de tubérculos “semilla” de papa (Sola- num tuberosum L.) variedad romano. Cultivos Tropicales, vol. 39, (3) pp. 80-86, 2018.
Morales, D., Dell Amico, J., Jerez, E., Martín, R., Díaz, Y. Efecto del quitomax® en el crecimiento y rendimiento del frijol (Phaseolus vulgaris L.). Cultivos Tropicales, vol. 37 (1) pp. 142-147, 2016
Iriti, M.; Picchi, V.; Rossoni, M.; Gomarasca, S.; Ludwig, N.; Gargano, M. y Faoro, F. ‘‘Chitosan antitranspirant activity is due to abscisic acid-dependent stomatal closure’’. Environmental and Experimental Botany, vol. 66, no. 3, 2009, pp. 493-500, DOI 10.1016/j. envexpbot.2009.01.004.
Mondal, M.M.A., Puteh, A.B. Dafader, N.C. Foliar application of chitosan improved morpho-physiological attributes and yield in summer tomato (Solanum lycopersicum). Pak. J. Agri. Sci., Vol. 53 (2), 339-344; 2016
Mukhtar-Ahmed, K.B., Khan, M.M.A., Siddiqui, H., Jahan, A. Chitosan and its oligosaccharides, a promising option for sustainable crop production- a review. Carbohydrate Polymers 227: 115331
Martínez, L., Maqueira, L., Nápoles, M.C., Núñez, M.C. Efecto de bioestimulantes en el rendimiento de dos cultivares de frijol (Phaseolus vulgaris L.) Biofertilizados. Cultivos Tropicales, 2017, vol. 38 (2) pp. 113-118.
Falcón-Rodríguez, A.B., Costales, D., Cabrera, J.C., Wattiez, R., Martínez-Téllez, M.A. (2014) Systemic Activation of Defensive Enzymes and Protection in Tobacco Plantlets against Phytophthora nicotianae Induced by Oligosaccharins. American Journal of Plant Sciences, 5, 3354-3363. http://dx.doi.org/10.4236/ ajps.2014.521351
Martínez, L., Reyes, Y., Falcón, A., Núñez, M. Efecto del tratamiento a las semillas con quitosana en el crecimiento de plántulas de arroz (Oryza sativa L.) cultivar Inca Lp-5 en medio salino. Cultivos Tropicales, vol. 36 (1): 143-150, 2015.
Núñez, M., Martínez, L., Reyes, Y. Oligogalacturónidos estimulan el crecimiento de plántulas de arroz cultivadas en medio salino. Cultivos Tropicales, vol. 39 (2): 96-100, 2018.
Morales D, Dell’Amico J, Jerez E, Rodríguez P, Álvarez I, Díaz Y, Martín R. Efecto del Quitomax® en plantas de frijol sometidas a dos regímenes de riego. Crecimiento y Rendimiento. Cultivos Tropicales 38 (2): 119-128, 2017a.
Morales D, Dell’Amico J, Jerez E, Rodríguez P, Álvarez I, Díaz Y, Martín R. Efecto del Quitomax® en plantas de frijol (P. vulgaris L.) sometidas a dos regímenes de riego. II Variables fisiológicas. Cultivos Tropicales 38 (4): 92-101, 2017b.
Dell’Amico J, Morales D, Jerez E, Rodríguez P, Álvarez I, Martín R, Días Y. Efecto de dos variantes de riego y aplicaciones foliares de Pectimorf® en el desarrollo del frijol (P. vulgaris L.). Cultivos Tropicales 38 (3): 129-134, 2017.
Álvarez Bello, I.; Reynaldo Escobar, I; Cartaya Rubio, O. y Terán Vidal, Z. Efecto de una mezcla de oligogalacturónidos en la morfología de hortalizas de importancia económica. Cultivos Tropicales, vol. 32 (3) pp. 69-74, 2011.
Terry Alfonso, E.; Ruiz Padrón, J.; Tejeda Peraza, T. y Reynaldo Escobar, I. Efectividad agrobiológica del producto bioactivo Pectimorf® en el cultivo del rábano (Raphanus sativus L.). Cultivos Tropicales, vol. 35 (2) pp. 105-111, 2014.
Cartaya O. E, Reynaldo, I., Peniche, C., Garrido, M. Empleo de polímeros naturales como alternativa para la remediación de suelos contaminados con metales pesados. Rev. Int. Contam. Amb. 27 (1): 41-46, 2011.
Cartaya, OE. 2018. Empleo de una mezcla de oligogalacturónidos para la fitoextracción de metales pesados en suelos contaminados. Tesis doctoral en Ciencias Agrícolas, 97p.
Cartaya, O., Guridi, F., Cabrera, A, Moreno, Ana M., Hernández, Y. Efectos de la aplicación foliar de una mezcla de oligogalacturónidos a plántulas de tomate cultivadas en un suelo contaminado con metales pesados. Cultivos Tropicales, vol. 38 (3): 142-147, 2017
Nápoles, M.C., Guevara, E., Montero, F., Rossi, A. y Ferreira, A. Role of Bradyrhizobium japonicum induced by genistein on soy-bean stressed by water deficit. Spanish Journal of Agricultural Research. Vol. 7, (3) 2009.

