

Investigaciones
Recepción: 24 Abril 2016
Aprobación: 20 Mayo 2017
Resumen: El objetivo del presente trabajo es evaluar la generación de espacios productivos del programa Vivienda de Interés Social Rural (VISR), del año 2013, según el tipo de beneficio recibido: vivienda nueva o mejora para la misma. La importancia de esta evaluación radica en que, si bien la provisión de recursos que permitan generar ingresos es uno de los objetivos del programa, no se ha hecho hasta el momento ninguna evaluación de impacto al respecto. Para cumplir con este propósito, se utilizan los datos recopilados por el Departamento Nacional de Planeación (DNP, 2013) y se hace uso de tres metodologías: Diferencias en Diferencias, Propensity Score Matching y Variables Instrumentales. Como resultado, se encuentra una disminución marginal, no significativa, en la probabilidad de contar con un espacio productivo en la vivienda, por lo cual se concluye que no hay diferencias en la generación de espacios productivos, entre los tipos de beneficiarios del programa.
Palabras clave: Vivienda, vivienda rural, productividad, políticas públicas, Colombia.
Abstract: The aim of this paper is to evaluate the creThe porpuse of this paper is to evaluate the creation of productive spaces of the program Vivienda de Interés Social Rural (VISR) 2013 ́s, according to the type of benefit received, new housing or improvements for the same. The importance of this evaluation lies in the fact that, although the provision of income-generating resources is one of the objectives of the program, no impact assessment has been done so far. For this purpose the data was collected by the National Planning Department (DNP, 2013) and the methodologies of the evaluation are three: Difference in Difference, Propensity Score Matching and Instrumental Variables. It was found a nonsignificant marginal decrease in the probability of having a productive space at home. There are no differences in the productive spaces generation between the types of beneficiaries.
Keywords: Living place, rural housing, productivity, public policy, Colombia.
Resumo: O objetivo deste estudo é avaliar a geração de espaços produtivos programa de Vivienda de Interés Social Rural (VISR), 2013, por tipo de benefício recebido: novas habitações ou melhoria dos mesmos. A importância desta avaliação é que, embora a provisão de recursos para gerar renda é um dos objectivos do programa não foi feito até agora nenhuma avaliação de impacto a este respeito. Para cumprir este propósito, os dados recolhidos pelo Departamento Nacional de Planeación (DNP, 2013) e da utilização de três métodos é usado: Diferenças Diferenças, Propensity Score Matching e Variáveis Instrumentais. Como resultado, há um não-significativa na probabilidade de ter um espaço produtivo em habitação, o declínio marginal assim, concluise que não existem diferenças na geração de espaços produtivos, os tipos de beneficiários.
Palavras-chave: Habitação, habitação rural, pro-dutividade, políticas públicas, Colômbia.
1. Introducción
El Gobierno nacional, a través del Viceministerio de vivienda, ha ampliado y fortalecido programas de vivienda focalizados en distintas modalidades, en el marco de una política pública enfocada en la reducción de la pobreza y del déficit habitacional en el país. Las soluciones y estrategias del Gobierno, en materia de vivienda, buscan garantizar el acceso a la misma y proveer instrumentos que garanticen un suelo urbanizable para la construcción de viviendas. Para el cumplimiento de estos objetivos, el Gobierno cuenta con programas que operan bajo tres esquemas: el primero de ellos, como sistema de subsidios, con el cual se busca cubrir la demanda de viviendas de interés prioritario1 y social2 (VIP y VIS); el segundo, es la financiación para hogares de bajos ingresos, basados en el ahorro voluntario programado; en tercer lugar, se encuentra la financiación a largo plazo, para la adquisición de vivienda, en el cual se otorga cobertura de tasa de interés para el crédito hipotecario y contrato de leasing habitacional, entre otros.
En términos económicos, los programas de vivienda han cobrado importancia por su creciente participación en el mercado inmobiliario nacional y departamental. Según el Banco Bilbao Vizcaya Argentaria (2015, p. 12) a 2014 la vivienda de interés social representaba el 30% de las construcciones, alcanzando niveles del 52% y 51% en Barranquilla y Cali respectivamente. También presentaba una tenencia creciente de las licencias de construcción destinadas a las VIS. La magnitud de la política de vivienda social en Colombia hace imperativo realizar evaluaciones de impacto, para cuantificar el efecto del programa sobre la población, que permitan generar recomendaciones de política sobre dichos programas.
En particular, esta investigación busca evaluar si el programa de Vivienda de Interés Social Rural (VISR) contribuye a la creación de espacios productivos3 en las viviendas, teniendo en cuenta que la provisión de recursos que permitan generar ingresos es uno de los objetivos del programa. A continuación, se describe, en detalle, el programa de Vivienda de Interés Social Rural (VISR): inició en el año 2000 y se ha transformado, hasta consolidarse en el actual Gobierno. Su objetivo principal es reducir los índices de hacinamiento crítico y el déficit habitacional en zonas rurales del país, permitiendo el acceso a una vivienda digna a la población “para permitir ampliar y desarrollar sus oportunidades sociales, económicas y culturales” (Decreto 900, 2012, art. 1). La familia beneficiaria recibe un subsidio de vivienda, una sola vez, ya sea en dinero o en especie, con el cual obtiene una de tres posibles soluciones: mejoramiento de la vivienda, construcción de vivienda en terreno propio o adquisición de vivienda nueva. Hasta ahora, el programa ha favorecido a 131.000 familias, con un valor total de 813.000 millones de pesos.
El subsidio será de hasta 16 Salarios Mínimos Mensuales Legales Vigentes (SMMLV), para el caso de mejoramiento y saneamiento básico; y de hasta 24 SMMLV, para el caso de construcción en sitio propio y adquisición de vivienda nueva (Decreto 900, 2012, art. 5). En todos los casos, el valor de la vivienda no puede superar los 70 SMMLV (Decreto 1160, 2010, art. 9). La asignación de los recursos del programa VISR se realiza en dos líneas de política:
• Bolsa Departamental (70%): Busca mejorar las oportunidades económicas y el acceso a los servicios básicos de la población rural, en condición de pobreza. Se enfoca en las familias pertenecientes al Sisbén 1 y 2, por medio de cupos indicativos de los departamentos seleccionados, los cuales se determinan por un coeficiente departamental basado en el Déficit de Vivienda Rural y las Necesidades Básicas Insatisfechas Rurales.
• Bolsa de Política Sectorial Rural (30%): Brinda atención a familias vinculadas con proyectos de política sectorial rural del Gobierno Nacional. La distribución varía según la demanda de los programas y las prioridades del Gobierno.
El Departamento Nacional de Planeación (DNP) realizó una evaluación institucional y de resultados del programa VISR en el año 2013. Como principales conclusiones, se encuentra que el programa VISR efectivamente está orientado a departamentos y municipios con altos índices de pobreza y déficit de vivienda, además está cumpliendo con el principio de focalización en población rural, en situación de pobreza. En segundo lugar, la evaluación encuentra que el programa es insuficiente para acabar el déficit de vivienda rural del país. Más aún, se concluye que el mismo es insignificante frente a la magnitud del problema. La satisfacción de los hogares frente a la vivienda es media, debido principalmente al tamaño de la misma. El número de habitaciones disponibles aumentó y se presentaron mejoras en la calidad de los pisos y paredes de la vivienda, merced al programa. Se debe considerar que la metodología utilizada en esta evaluación se concentra en “variables e indicadores sobre productos y efectos”, según el DNP (2013, p.167); es decir, que la evaluación describe qué tanto, en cuanto a viviendas dignas, provee el programa a la población rural, a partir de las características de las viviendas entregadas.
Por otra parte, la evaluación realizada por el DNP buscó determinar la relación entre el programa VISR y el desarrollo rural, comparando las condiciones de los beneficiarios, antes y después de recibir el dividendo. Sin embargo, las conclusiones se basaron en las diferencias observadas en las condiciones de los beneficiarios, entre la línea base, el momento de la entrega y el momento de la encuesta. Por lo tanto, la evaluación del DNP mide los resultados y no el impacto del programa, ya que no cuenta con un grupo de control que permita comparar los resultados entre beneficiarios y no beneficiarios.
Los criterios de focalización descritos y las conclusiones de la evaluación del DNP indican que la población cubierta por el programa VISR no cuenta sino con el espacio necesario para vivir y realizar actividades básicas. Es decir, no tendrían la posibilidad de destinar espacios, en su vivienda, para actividades productivas tales como cuartos para almacenamiento, terreno para siembra o crianza de animales, terrazas, locales comerciales, etc. Con la presente evaluación se busca determinar si el programa de Vivienda de Interés Social Rural 2013 provisionó espacios productivos a los hogares que recibieron una vivienda nueva, frente a los hogares que recibieron mejoras de cualquier otro tipo. Si la población beneficiaria del programa es homogénea, en cuanto a las características observables como no observables, es más probable que las familias que reciban una casa completamente nueva, bien sea en terreno propio o en lote nuevo, tengan acceso a un espacio productivo, tal y como lo plantea el programa, frente a los hogares que reciben como beneficio otro tipo de mejora para el hogar. Debido a que en el diseño de una casa nueva participan los beneficiarios, y podrían destinar parte de esta construcción a la generación de espacios productivos, esto resulta previsible.
El presente artículo se encuentra organizado mediante varios apartados: en el segundo de ellos, se presenta la revisión de literatura respecto a programas similares que se han realizado en la región y sus respectivas evaluaciones; y en el apartado tres, se da a conocer la metodología a utilizar, compuesta por Diferencias en Diferencias, Propensity Score Matching y Variables Instrumentales, junto con sus respectivos resultados. Por último, en el cuarto apartado, se presentan las conclusiones del trabajo desarrollado.
2. Revisión de la literatura
En cuanto a los aspectos teóricos y empíricos del programa evaluado y a la hipótesis central del trabajo, se realizó una revisión de la literatura. En cuanto a la variedad de programas habitacionales, Held (2000, p. 43) argumenta que los sistemas orientados a subsidios de demanda, y que siguen los principios de mercado, logran difundir efectivamente los beneficios, además de dinamizar la construcción y la oferta de viviendas. Además, reducen significativamente el déficit habitacional en la población de menor ingreso. Esta conclusión se justifica en tres principios: imparcialidad, equidad y neutralidad. El desarrollo de los procesos de postulación, en este tipo de programas, se caracteriza por su transparencia, en la medida en la que las mismas personas sirven como auditores, al poder verificar en listas públicas el orden de asignación del beneficio y el puntaje obtenido. Dicho puntaje surge a partir de las características de focalización establecidas, según la prioridad de asignación, haciendo el proceso equitativo. Por último, los programas son neutrales, en la medida en la que los beneficiarios eligen entre las características con la cuales desean adquirir, construir, financiar, ampliar, etc., su futura vivienda. Si se cumplen los tres principios, se considera un programa exitoso.
Sobre la relevancia de contar con espacios productivos en la vivienda, el DNP (2013, p. 227) establece, dentro de sus objetivos, tener un impacto en las finanzas del hogar, definiendo que la vivienda debe ser un activo generador de ingresos y reductor de gastos.
En la práctica, se encuentran diversos ejemplos de programas orientados a generar soluciones habitacionales, los cuales tienen como objetivo reducir el déficit cuantitativo de vivienda (propio del aumento de la población) y dar respuesta al creciente proceso de urbanización. En la Tabla 1, se presenta información descriptiva de los programas más importantes de vivienda que existen en América Latina.

A pesar de la amplia oferta de programas de vivienda que existen en América Latina, no hay una literatura igualmente extensa en la que se evalúe el impacto de dichos programas y el cumplimiento de sus objetivos. En la mayoría de casos, la limitación práctica más frecuente es la disponibilidad de datos y la información completa de beneficiarios y no beneficiarios. No obstante, en cuanto a la evaluación institucional de los programas, Held (2000, p. 44) examina las experiencias de Chile, Costa Rica y Colombia en los años 90. El autor encuentra que los estándares de las viviendas son, usualmente, un factor de poca relevancia a la hora de establecer los programas en los tres países, pues se prefiere cantidad sobre calidad. En conclusión, el déficit habitacional en los países mencionados ha disminuido, pero para alcanzar el impacto necesario, el monto de los subsidios debería ser del orden de 1% del PIB. El bajo impacto, dada la magnitud del déficit habitacional, es un problema que señala también el DNP en la evaluación institucional del programa VISR mencionado previamente.
Se encontraron también evaluaciones de impacto de programas de vivienda; sin embargo, ninguno de ellos se encuentra relacionado con la pregunta central de este trabajo, ni de efectos indirectos como la generación de ingresos o disminución de gastos. Una primera evaluación a tener en cuenta es la realizada por Pecha (2011), para el Banco Interamericano de Desarrollo (BID), en la cual analiza el impacto del programa de Vivienda de Interés Social en Colombia, a partir de la encuesta de calidad de vida, utilizando la técnica de Propensity Score Matching. Los resultados obtenidos muestran que, en promedio, el grupo tratamiento, es decir los beneficiarios del programa, efectivamente presentan mejores condiciones en la vivienda respecto a quienes no reciben el beneficio. Se identifica un impacto negativo sobre los beneficiarios por disminución en la recolección de basuras, que se explica por el alto porcentaje de tratados pertenecientes al sector rural, lo cual hace más común la mala práctica en la gestión de desechos, como la quema de basuras.
La segunda evaluación relevante es la de Cantú, Garza, Salazar y de Arcos (2015), quienes evalúan el programa “Tu Casa”, en el Estado de Zacatecas, México. Los autores cuentan con un grupo de control (no beneficiario del programa) y uno tratamiento (beneficiarios), pero no tienen información completa sobre los no beneficiarios, por lo cual la evaluación realizada se limita a análisis de tipo antes-después y con-sin. Por medio de la estrategia antes-después, concluyen que después de la implementación del programa, la mayoría de personas reportan condiciones iguales o peores en seguridad pública, pavimentación, iluminación, acceso vial, cercanía al comercio, cercanía a las escuelas, disponibilidad de transporte público y limpieza de calles, entre otros. Por otro lado, el análisis con-sin está enfocado en verificar la satisfacción con el beneficio del programa; se concluye que los beneficiarios reportan una mayor satisfacción, tanto con el lugar en el que residen, como con su nueva vivienda, respecto al grupo de control.
El presente trabajo se ve limitado por la base de datos utilizada, por lo cual no se enfoca en realizar una evaluación de impacto del programa en conjunto. Sin embargo, y como ya se ha mencionado, el objetivo de la presente indagación pasa por evaluar el impacto diferencial de los tipos de adjudicatarios sobre la generación de espacios productivos. Como hipótesis inicial, se plantea que los beneficiarios de vivienda nueva podrían tener, con mayor probabilidad, un nuevo espacio en el domicilio dedicado a actividades productivas, debido principalmente a que la nueva vivienda podría ser más grande, por diseño, y además estar planificada con propósitos de este tipo.
3. Metodología
El presente trabajo fue guiado, teórica y metodológicamente, por el libro de Bernal y Peña (2010). Se utilizan los microdatos recolectados por el Departamento Nacional de Planeación (2013), los cuales incluyen información sobre 2.529 beneficiarios del programa VISR, en 125 municipios, de 24 departamentos de Colombia. El levantamiento de los datos se hizo en el segundo semestre de 2013, a través de una encuesta única que contiene información referente al momento de la encuesta, de la entrega del beneficio y previo a la entrega del mismo. Los aspectos que abarca enfatizan en las condiciones de vida de los hogares, sus ingresos y sus gastos, la financiación, la satisfacción con la vivienda, el acceso a los servicios públicos y la caracterización, tanto de hogares como de beneficiarios, principalmente. A pesar del alto nivel de detalle de la encuesta, se encontraron dos problemas fundamentales en la base de datos provista: en primer lugar, no se incluyen los datos referentes a las preguntas iniciales de la encuesta, que reúnen aspectos centrales como la modalidad del beneficio recibido, si la persona se encuentra en condición de desplazamiento o sufrió un desastre natural, entre otras características. La segunda, y más crucial limitación, es que no se incluye información de personas no beneficiarias del programa; es decir, no se cuenta con un grupo de control ideal para la evaluación. Teniendo en cuenta esto, a continuación, se definen las variables de interés para la estimación del impacto:
•Variable de resultado: se define como una variable dicótoma, que toma el valor de 1 si la vivienda cuenta con al menos uno de los siguientes espacios: local, garaje, depósito, cuarto para negocio, patio, lote, terraza, solar o parcela, que sirva para cultivar, criar animales u otras actividades productivas o comerciales y 0 de lo contrario. Dicha variable se define para el tiempo 1 y 2, siendo 1 el momento antes del beneficio y 2 una vez recibido el mismo.
•Grupo de tratamiento: se encuentra compuesto por los hogares beneficiarios de construcción de casa en lote propio, adquisición de vivienda nueva o reconstrucción de la casa.
•Grupo de control: se compone de todos los hogares que reciben cualquier tipo de mejora, remodelación o ampliación de la casa4.
Aunque sería ideal contar con información de individuos no beneficiarios del programa, es posible cumplir con el objetivo planteado, a partir de los grupos tratamiento y control definidos. Primero, porque se tiene información antes y después del beneficio de variables de control; y segundo, porque se busca determinar si la provisión de los espacios productivos se cumple más con un tipo de beneficio que con otro. Una vez definidos el grupo tratamiento y control, la muestra está compuesta por 1.578 tratados y 951 controles.
3.1. Estimaciones preliminares y sus resultados
Una primera aproximación consiste en estimar una regresión simple, por medio de la metodología probit5, entre la variable resultado y la variable dicótoma tratamiento-control. Se encuentra, entonces, que pertenecer al grupo tratamiento disminuye la probabilidad de tener un espacio productivo en la vivienda. En particular, el hecho de recibir una vivienda nueva disminuye la probabilidad de contar con un espacio productivo en 0.05 puntos porcentuales, en promedio; el efecto es significativo al 5%. La estructura de la regresión es:
Donde espaciopro es la variable de resultado y D es una variable dicótoma, que toma el valor de 1 si es tratamiento y de 0 si es control.
No obstante, este resultado preliminar no representa el verdadero efecto del programa, pues contiene el efecto de otras dimensiones que afectan el hecho de contar con un espacio productivo de la manera descrita. Para mejorar la identificación del efecto del programa sobre la disponibilidad de espacios productivos, se incluyen, como controles, variables observables que teóricamente podrían afectar la variable de resultado:
•Variables de focalización: estado civil, número de personas en el hogar, presencia de niños menores a 8 años, presencia de adultos mayores de 60 años, nivel de Sisbén, dicótomas de propietario de lote o terreno, posición de liderazgo en el municipio, madre cabeza de familia, etnia, dicótomas de víctima de desplazamiento y desastre natural.
•Otros controles: para corregir, por sesgo de selección de hogares, con mayor motivación a mejorar las condiciones de la vivienda, se incluye una variable que indica si el hogar tuvo la oportunidad de opinar en el desarrollo del beneficio. Si la casa o la mejora no les fueron impuestas, puede existir un mayor interés por mejorar la vivienda para uso productivo. También se incluye el aporte que realizaron al proyecto; si fue en dinero, en materiales, en trabajo propio, en alojamiento o en alimentación a los maestros de construcción, etc.
Además del rendimiento recibido, el beneficiario puede generar mejoras en su vivienda que terminen siendo espacios productivos; para controlar por esta posibilidad, se incluyen variables relacionadas con algunos incentivos que tendrían los hogares para realizar esa inversión, como las restricciones del programa sobre la casa, si puede arrendar la vivienda, venderla, así como el tiempo de permanencia en la misma o si no tiene restricción alguna sobre la vivienda o al menos no la conoce. Una alta satisfacción con la vivienda, su calidad y su ubicación son factores determinantes para la decisión del hogar de generar, por su cuenta, nuevos espacios o mejoras. Por esta razón, se incluye la disposición declarada de los hogares para hacer mejoras, la distancia al casco urbano más cercano, antes y después del beneficio; y el componente de calidad de vida del Índice de Pobreza Multidimensional, que recoge todas las características físicas, indicadoras de la calidad de la vivienda.
En la Tabla 2, se presenta la diferencia de medias, entre tratados y controles, para las variables de focalización. Se observa que, a un nivel de significancia del 5%, no se rechaza la hipótesis nula de la prueba de que no existan diferencias entre tratados y controles para la mayoría de las variables. El resultado tiene sentido, porque tanto tratados como controles son beneficiarios. Las variables que definen el tipo de beneficio, por ejemplo, si el beneficiario es propietario del terreno, si pertenece al nivel más bajo de Sisbén y si ha sido víctima de desastre natural, presentan diferencias estadísticamente significativas entre ambos grupos. Cabe anotar que también se presentan diferencias estadísticamente significativas en las variables que especifican si el jefe de hogar está casado o si está en unión libre, en el número de personas en el hogar y en cuanto a su etnia.
En cuanto a las variables de interés, presentadas en la Tabla 3, a excepción de cuartos productivos antes del beneficio, se encuentra que al 5% de significancia, hay diferencias entre el grupo de tratamiento y el de control, en las variables de resultado, tal como lo esperaríamos según la hipótesis central del trabajo.
En la Tabla 4, se presentan las variables de control no relacionadas con la política de focalización del programa.
Por último, seis de las variables control planteadas difieren entre tratados y controles. Llama la atención que, antes del beneficio, no se encuentran diferencias significativas en el componente de calidad de vida del Índice de Pobreza Multidimensional (ipm1). Pero, una vez implementado el programa, se encuentran diferencias significativas, al 5%, entre ambos grupos en el índice (ipm2), a favor del grupo de tratamiento.
Ahora se estima de nuevo la regresión [1], controlando por las variables descritas en la Tabla 4, el efecto del programa tiene una disminución de 0.03 puntos porcentuales, en cuanto a la probabilidad de tener un espacio productivo en la vivienda, para los tratados. En este caso, se encuentra que el efecto no resulta significativo. Se estima, por medio de la metodología probit, la regresión:
En donde el subíndice i (i>1) hace referencia a cada uno de las variables control expuestas en la Tabla 4.



Con los resultados de las estimaciones [1] y [2], se concluye que el efecto de tener una vivienda nueva, frente a recibir una mejora para la misma, cambia muy poco la probabilidad de obtener un espacio productivo que represente ingresos potenciales. Sin embargo, en los resultados se presenta sesgo de selección, ya que hay características de los hogares, tanto observables como no observables, (-por ejemplo, la motivación), de las cuales no se tiene información. Esto hace que las familias sean más propensas a generar espacios productivos en sus viviendas. Por esta razón, se opta por utilizar metodologías alternativas para reducir el sesgo de selección descrito.
3.2. Diferencias en Diferencias
Para la implementación de esta metodología, se presentan algunos obstáculos. El principal problema es que no se cuenta con una línea básica, debido a que la base de datos se conformó con un único levantamiento realizado a un grupo representativo de beneficiarios del programa VISR. Dicho inconveniente se solucionó porque en la encuesta existe información referente al momento previo del programa, una vez recibido el beneficio, y al momento de la encuesta sobre aspectos de la calidad de la vivienda y el acceso a servicios públicos. Por tanto, se toman las respuestas de los beneficiarios, respecto a su situación, antes del beneficio como la línea base, y en el momento en el que se entrega el beneficio, como la línea seguimiento.
Al restringir las variables disponibles a las preguntas de las que se tiene la información necesaria para esta metodología, se reduce significativamente el número de posibles controles. Además, las variables de dicho módulo hacen referencia a la calidad de la vivienda y al acceso a servicios públicos, características que se incluyen en la focalización del programa. Según lo anterior, los posibles controles se encuentran explicados, al menos en parte, por la participación en el plan y, por lo tanto, no son controles ideales.
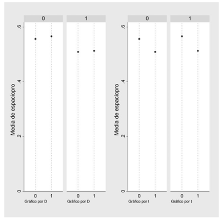
En cuanto a la validez del grupo de control, respecto al tratamiento, se cumple el supuesto de tendencias paralelas6, ya que los beneficiarios del programa VISR deben cumplir con ciertas características en común. En general, se puede decir que si el grupo de tratamiento no hubiera sido tratado, se habría comportado de manera similar al grupo de control. También se cree que no existen variables no observables que cambien en el tiempo, pues como se mencionó previamente, tanto el grupo de control como el de tratamiento tienen características parecidas. Lo anterior se verifica a través de la Figura 1, en donde se muestra la diferencia entre tratados (D=1) y controles (D=0) para la línea base (t=0) y seguimiento (t=1), así como la diferencia entre las líneas base y seguimiento, para tratados y controles. En este caso, el supuesto de tendencias paralelas se valida con la similitud en la pendiente que se trazaría con los dos puntos pertenecientes a cada sección de la Figura 1.
Resultados
Al realizar las siguientes estimaciones, por me- dio del modelo probit:
En donde t es una variable dicótoma que toma el valor de cero, para la línea base, y de uno para la línea seguimiento. El subíndice k (k>3) hace referencia a cada una de las variables control, definidas para esta metodología y para su respectivo estimador.
La estimación [4] incluye las variables de control, aun cuando se argumente que no son controles ideales para efectos de comparación con las demás metodologías.
Según los resultados obtenidos en las estimaciones [3] y [4] (ver Anexo), el estimador de Diferencias en Diferencias no es significativo al 5%. Por lo tanto, se concluye que en promedio el grupo control y el grupo tratamiento tienen la misma probabilidad de tener espacios productivos en la vivienda. Es decir, la diferencia en el tipo de beneficio del programa de VISR no influye en la decisión de utilizar la vivienda para generar actividades productivas.
3.3. Propensity Score Matching
La segunda metodología a emplear es el Propensity Score Matching. Con esta técnica semiparamétrica se estimará la probabilidad que tiene cada hogar para recibir una casa nueva o hacerle mejoras a la misma, a partir de las condiciones de focalización. Una vez estimada dicha probabilidad, se emparejarán los hogares por medio de distintos algoritmos, para comparar los más similares estadísticamente. Para efectos de inferencia estadística, se utilizará la técnica de Bootstraping7, para calcular los errores estándar. Para calcular el Propensity Score, se incorporan todas las variables consideradas inicialmente, a excepción del partido político y el indicador de líder comunitario, ya que intuitivamente son las que afectan, tanto el hecho de ser beneficiario de cada una de las modalidades del programa, como la generación de espacios productivos.
La estimación se hace por medio del comando pscore, de Stata, el cual divide las observaciones en un número óptimo de bloques y a su vez divide esos bloques, hasta que la probabilidad media del grupo control no sea diferente, estadísticamente, a la del grupo tratamiento. Por otra parte, calculamos el Popensity Score con el soporte común, para garantizar que estamos comparando individuos que, efectivamente, son comparables. Encontramos que dividiendo la muestra en 4 bloques, no existen diferencias significativas entre tratados y controles. Para verificar la calidad del emparejamiento, estimamos un Probit de la variable tratamiento contra el Propensity Score estimado y todas las variables de control. Como se esperaría teóricamente, ninguna de las variables es significativa al 5% de significancia. Como se observa en la Figura 2, la gran mayoría de las observaciones se encuentran dentro del soporte común8. Al estimar, por soporte común, se pierden 25 observaciones.

Resultados
En la Tabla 5, se resumen los resultados de las estimaciones del Propensity Score, con los distintos algoritmos de emparejamiento.

Se encuentra que, para todas las formas de emparejamiento reportadas en la Tabla 5, el efecto conocido como Average impact of Treatment on the Treated (ATT) estimado tiene signo negativo; es decir, que la probabilidad de contar con un espacio productivo en la vivienda disminuye por el hecho de ser beneficiario de vivienda nueva en el programa. La magnitud de la disminución, en la probabilidad, está entre 0.0236 y 0.0636, y es muy similar a través de los distintos algoritmos de emparejamiento. Además, el ATT estimado es muy similar cuando se empareja, con y sin soporte común, ya que como se indicó previamente, la mayoría de la muestra pertenece al soporte común. Lo anterior nos indica que el resultado es robusto entre los diferentes emparejamientos y el efecto de ser beneficiario de vivienda nueva disminuye, pero en muy poco, la probabilidad de tener espacios productivos en la vivienda.
También se presentan los resultados de la estimación (7) del Anexo por MCO, con todas las variables interactuando para encontrar posibles efectos heterogéneos. El ATT estimado es -0.032, es decir, que hay un efecto negativo de 0.032 sobre la probabilidad de tener un espacio productivo para beneficiarios de vivienda nueva. Este efecto es muy similar, en magnitud, al encontrado con los métodos de emparejamiento utilizados y es también menor al efecto estimado por regresión lineal. Se encuentra que hay efectos heterogéneos, estadísticamente significativos, con las interacciones de las variables viudo, Sisbén, aporte en dinero y no arriendo en 5 años. Es decir, que existen diferencias en la probabilidad de tener espacios productivos, por cuenta del programa, para familias que aportan dinero en la implementación del beneficio, y para aquellos que tienen como condición, a la hora de recibir el beneficio, no arrendar la vivienda por al menos 5 años.

Por último, se realiza un análisis de sensibilidad para examinar qué tan robustos son los resultados encontrados a la presencia de variables inobservables, además de que tanto cambiarían las conclusiones, si se incluye una variable simulada en el modelo. Haciendo el análisis de sensibilidad, encontramos un ATT estimado de -0.048, el cual es muy cercano a los resultados reportados por los distintos emparejamientos. Por lo tanto, las conclusiones anteriores no se ven alteradas.
3.4. Variables instrumentales
La tercera metodología a emplear es de Variables instrumentales, con la cual se estima el efecto del programa, teniendo en cuenta la posible correlación entre el indicador de tratamiento D y el término de perturbación. Esta técnica permite obtener un estimador consistente e insesgado del efecto del programa, definiendo una variable adicional que explique la participación en el programa (relevancia), sin estar relacionada con el término error, ni tener un efecto directo sobre la variable de resultado.
Para evaluar el efecto de la participación en el programa VISR, en la modalidad de vivienda nueva, comparado con la modalidad de mejoramiento, se toma como variable instrumental si las personas reportan haber sido desplazadas en el último año, hacia alguno de los municipios donde se implementó el programa. Como en este caso el tratamiento es ser beneficiario de vivienda nueva, la participación está alta- mente relacionada con la variable de desplaza- miento, ya que las familias desplazadas entran en el grupo de hogares priorizados para recibir vivienda nueva. La condición de ser desplazado no afecta los espacios productivos de la vivienda, por otro canal distinto al beneficio del programa. Por lo tanto, es en principio un instrumento válido. El mismo argumento aplica para los hogares víctimas de desastres naturales, ya que para el año en que se está realizando la evaluación, las prioridades de focalización fueron desplazamiento y desastre natural.
Resultados
Una vez definidos los instrumentos, se determinará si se cumplen las condiciones de relevancia y exogeneidad de los mismos. En cuanto a la relevancia del instrumento, se evalúa si predice, de manera significativa, la participación en el programa. Como la variable de resultado (contar con un espacio productivo) es binaria, se estima primero un probit y se utiliza como instrumento la probabilidad predicha de participar en el programa de vivienda nueva. En la primera etapa, se encuentra que el instrumento, probabilidad predicha de participación, es estadísticamente significativo para explicar la participación en el programa, a cualquier nivel de significancia. Además, el signo coincide con lo que se esperaba, es decir, el hecho de ser víctima de desplazamiento forzado o de desastre natural en el último año, aumenta la probabilidad de ser beneficiario del programa, en la modalidad de vivienda nueva.
En la primera etapa de la estimación, la prueba F, la prueba canónica de Anderson y de Cragg-Donald, muestran que a un nivel de significancia del 5%, el instrumento sí es relevante. En la prueba F, se rechaza la hipótesis nula de que el coeficiente asociado al tratamiento es igual a cero. En la prueba canónica de Anderson y de Cragg-Donald, no se rechaza la hipótesis nula de que la matriz de coeficientes tiene rango completo. En la segunda etapa, se estima el efecto de ser beneficiario del programa VISR, en su modalidad de vivienda nueva, se encuentra que el estimador encontrado no es estadísticamente significativo. Para probar la segunda condición, exogeneidad de los instrumentos, se requiere hacer la estimación en dos etapas, con dos instrumentos. Para ello, se realiza la misma estimación de variable instrumental, pero instrumentando no por la probabilidad predicha de participar, sino por las dos variables instrumentales: desplazamiento y desastre natural. Las conclusiones, tanto de las pruebas de relevancia como de significancia estadística del estimador del efecto del programa, se mantienen. Por otro lado, la prueba Sargan arroja un pvalue de 0.6365, con el cual no se rechaza la hipótesis nula, la cual indica que los instrumentos no están correlacionados con el error. Rechazar la hipótesis nula implica que, al menos uno de los instrumentos, no es exógeno.
La metodología de Variables Instrumentales permite concluir, según los criterios descritos, que las variables víctima de desplazamiento y/o de desastre natural (estimación (5) y (6) del Anexo respectivamente), son instrumentos válidos para estimar el efecto, corrigiendo, por autoselección de ser beneficiario, ambos tipos de vivienda, sobre la posibilidad de contar con un espacio productivo en la misma. Dado lo anterior, el hecho de ser beneficiario de vivienda nueva no tiene ningún efecto sobre la probabilidad de generar un espacio productivo en la misma. Cabe resaltar que esta conclusión es válida, únicamente, para la muestra de cooperadores del programa, es decir, las personas que no buscan cambiar el beneficio que recibieron y que, por tanto, no cambian de grupos, ya sean tratados o controles. En este caso, se considera que los cooperadores son una muestra representativa por dos razones: la primera, que tanto tratados como controles son beneficiarios del programa VISR y, por lo tanto, el hogar está recibiendo un beneficio y se encuentra, en este sentido, mejor que antes. Si las condiciones de focalización se cumplen, como se muestra en las evaluaciones del DNP, cada hogar está recibiendo el beneficio justo que requiere, o al menos uno que lo mejora. La segunda razón es que los costos de transacción relacionados con la asistencia a reuniones, trámites, etc., para cambiarse de modalidad de programa, son altos, y por lo tanto hay desincentivos al momento de ser desafiante.
4. Conclusiones
Dado que la participación en el programa de 2013 es, en parte, voluntaria, las estimaciones del impacto de ser beneficiario de vivienda nueva, por MCO, frente a una mejora de la misma, sobre la probabilidad de contar con un espacio productivo en la vivienda, estarán sesgadas. Las estimaciones por Diferencias en Diferencias, Propensity Score Matching y Variables Instrumentales, indican que el sesgo es positivo.
Considerando el signo del efecto, vemos que este, en todas las estimaciones, es siempre negativo. Es decir, que los hogares beneficiarios de mejoras para la vivienda tienen más probabilidad de contar con un espacio productivo, gracias al programa, frente a los demás beneficiarios. Este resultado es contrario a la hipótesis inicial que planteaba que los beneficiarios de vivienda nueva podrían tener, con mayor probabilidad, un nuevo espacio en su vivienda, dedicado a actividades productivas, debido a que la nueva vivienda podría ser más grande y además, estar diseñada con propósitos de este tipo. Sin embargo, lo que se encuentra es que los hogares que reciben una mejora, podrían estar invirtiendo el dinero o los materiales recibidos en adaptar un espacio preexistente para alguna actividad productiva o para generar un nuevo espacio. Las dos opciones son viables, ya que los recursos necesarios para tener un espacio productivo no son altos, dada la concepción de espacio productivo.
Para corregir por el sesgo de selección, se utilizan las metodologías de Diferencias en Diferencias, Propensity Score Matching y Variables Instrumentales, a partir de las cuales se encuentra que el efecto de recibir el beneficio de vivienda nueva, en lote nuevo o propio, disminuye marginalmente la probabilidad de contar con un espacio productivo en la vivienda. En ninguna de las estimaciones realizadas, este efecto alcanza un punto porcentual en magnitud. Incluso, en el caso de Variables instrumentales, el efecto es no significativo. La conclusión principal es que no existe una diferencia significativa entre las dos modalidades del programa que haga que un grupo de beneficiarios tenga un espacio productivo en la vivienda, merced al programa. Es necesario resaltar que, con la evaluación realizada, no es posible concluir si el programa de VISR 2013 está o no cumpliendo con el objetivo propuesto: infundir ingresos potenciales para los beneficiarios, a través de la generación de espacios productivos, ya que como se explicó inicialmente, no se cuenta con información de algún grupo idóneo, para comparar a los beneficiarios. Se concluye, con base en los resultados encontrados, que resulta posible que el programa no esté cumpliendo con este objetivo o que, de forma contraria, está impactando los ingresos potenciales de los hogares, tanto para beneficiarios de vivienda nueva como de mejora, de cualquier tipo.
Referencias
Banco Bilbao Vizcaya Argentaria (BBVA). (2015). Situación Inmobiliaria Colombia año 2015. Recuperado a partir de https://www.bbvaresearch.com/wp-content/uploads/2015/03/SituacionInmobiliariaPublicar1.pdf
Bernal, R. y Peña, X. (2010). Guía práctica para la evaluación de impacto. Bogotá: Ediciones Uniandes.
Cámara Colombiana de la Construcción (Camacol). (2011, Septiembre). La vivienda de interés social en América latina: una revisión de políticas para atender las necesidades habitacionales de la región. Recuperado a partir de http://camacol.co/sites/default/files/ secciones_internas/Informe%20Econ%- C3%B3mico%20-%20Sep11-%20No.30.pdf
Cantú, J. S., Garza, J. P., Salazar, J. I., y de Arcos, C. L. (2015). Evaluación del programa de ahorro y subsidio para la vivienda tu casa en el estado de zacatecas. Gestión y Política Pública, 24(1), 169–227.
Decreto 1160 (2010). Por medio del cual se reglamentan parcialmente las Leyes 49 de 1990, 3ª de 1991, 388 de 1997, 546 de 1999, 789 de 2002 y 1151 de 2007, en relación con el Subsidio Familiar de Vivienda de Interés Social Rural y se deroga el Decreto 973 de 2005. Presidencia de la República, Colombia. Recuperado a partir de http://www.alcaldiabogota.gov.co/sisjur/normas/Norma1.jsp?i=39327#0
Decreto 900 (2012). Por el cual se modifican parcialmente los Decretos número 2675 de 2005 y 1160 de 2010 y se dictan otras disposiciones en relación con el Subsidio Familiar de Vivienda de Interés Social Rural. Presidencia de la República, Colombia. Recuperado a partir de http://www.alcaldiabogota.gov. co/sisjur/normas/Norma1.jsp?i=47260
Departamento Nacional de Planeación (DNP). (2013). Evaluación institucional y de resultados del programa de vivienda de interés social rural. Recuperado a partir de https:// anda.dnp.gov.co/index.php/catalog/53
Held, G. (2000). Políticas de viviendas de interés social orientadas al mercado: experiencias recientes con subsidios a la demanda en Chile, Costa Rica y Colombia. CEPAL.
Pecha, C. (2011). Programa de vivienda de interés social de Colombia: Una evaluación (Inf. Téc.). Technical report, Inter-American Development Bank.
Secretaría Distrital de Planeación (2011). Bogotá Ciudad de Estadísticas, Boletín 11. Recuperado a partir de: http://www. sdp.gov.co/portal/page/portal/PortalSDP/InformacionTomaDecisiones/Estadisticas/Bogot%E1%20Ciudad%20de%20 Estad%EDsticas/2011/DICE114-Cartilla- ViHoPe-30062011.pdf
Thuillier, G. (2005). El impacto socio-espacial de las urbanizaciones cerradas: el caso de la Región Metropolitana de Buenos Aires. Revista Eure, 93:5-20. Doi: http://dx.doi.org/10.4067/S025071612005009300001
Toro, F. (2009). Los centros comerciales, espacios postmodernos de ocio y consumo. Cuadernos Geográficos, 44:257-261. Doi: http://dx.doi.org/10.14198/INGEO2008.45.11
Notas

