Resumen: El problema del calentamiento global suscita el estudio de diferentes alternativas para detenerlo, y la generación y el consumo de energía juegan un rol muy importante en este tópico, principalmente en países como Argentina, donde la energía es generada mayoritariamente a partir de combustibles fósiles. La cantidad de energía consumida de los edificios está directamente vinculada a su eficiencia energética, y para dimensionar el sistema térmico del mismo, se utilizan herramientas de cálculo basadas en la transmitancia térmica y el flujo de calor estacionario. Esta metodología tiene como virtud la simplicidad, pero no tiene en cuenta la capacidad de almacenamiento de calor, ni su flujo, es decir, no consideran la inercia térmica presente en materiales como el hormigón o la mampostería. Esta propiedad, junto a un adecuado diseño bioclimático, permite reducir los requerimientos energéticos y logra ambientes más confortables. En este trabajo, mediante modelos matemáticos simplificados, se simularon cerramientos de hormigón con distintas densidades y espesores, y se calculó su capacidad térmica y admitancia. Estos parámetros cuantifican de manera sencilla los efectos beneficiosos de la inercia térmica: la demora temporal de los picos de temperatura exterior e interior, y la amortiguación de la amplitud térmica en el interior del edificio.
Palabras clave: hormigón, inercia térmica, ahorro de energía, eficiencia energética.
Abstract: Global warming problems require to study different alternatives to stop it, and power generation and consume play a very important role in this regard, mainly in countries like Argentina, where power is mostly generated from fossil fuels. The amount of energy consumed by buildings is directly linked to their energy efficiency, and to size its thermal system, calculation tools based on thermal transmittance and stationary heat flow are used. This methodology has the virtue of simplicity, but it does not take into account the heat storage capacity or its flow, that is, it does not consider the thermal inertia present in materials such as concrete or masonry. This property, together with an adequate bioclimatic design, allows to reduce energy requirements and achieving more comfortable environments. In this work, through simplified mathematical models, concrete walls with different densities and thicknesses were simulated, and their thermal capacity and admittance were calculated. These parameters easily quantify the beneficial effects of thermal inertia: the time delay of outdoor and indoor temperature peaks, and the damping of thermal amplitude inside the building.
Keywords: concrete, thermal inertia, energy savings, energy efficiency.
Artículos
Aprovechamiento de la inercia térmica del hormigón para el ahorro energético de los edificios
Use of concrete thermal inertia for buildings energy savings
Recepción: 06 Enero 2021
Aprobación: 10 Marzo 2021

La vida en las grandes ciudades, la economía globalizada, el transporte intensivo, la comunicación instantánea y la producción de alimentos para 7 mil millones de habitantes, no serían posibles sin la alta densidad energética de los combustibles fósiles, la facilidad de transporte de los productos refinados del petróleo y la gran flexibilidad de la electricidad. Sin embargo, la vida tal y como la conocemos, un desarrollo desregulado junto a un crecimiento demográfico exponencial, provoca un enorme incremento de la emisión de los gases de efecto invernadero, debido especialmente a la conformación de la matriz energética actual que sustenta una demanda en aumento. La producción energética mundial en el 2018 se vio incrementada en un 3,2% respecto al año anterior, continuando con su marcada tendencia creciente (International Energy Agency, 2020). A pesar de presentar una destacada inserción de energías renovables y nuclear, la mayor explotación continúa siendo la de combustibles fósiles, los que conforman más del 81% de la producción total y son los principales responsables de la contaminación por emisiones de dióxido de carbono (Figura 1-a). La energía producida a partir de carbón mineral tuvo un incremento en los últimos años especialmente en la región asiática y más precisamente en China. Por otro lado, la producción de energía a partir de gas natural denota un marcado aumento a nivel mundial, con un incremento de 16% a 23% en los últimos 30 años (International Energy Agency, 2020).
Argentina, de manera similar al resto del mundo, utiliza un alto porcentaje de energía producida en base a hidrocarburos, como lo son el petróleo y el gas natural, siendo más del 80% del total de la oferta interna del país (Figura 1-b). A diferencia de lo que ocurre a nivel global, en el país la producción de energía en base al carbón mineral es poco significativa, mientras que la energía producida a partir de gas natural tiene un gran desarrollo (54%), la cual se utiliza en hogares, industrias y para generación eléctrica.

En cuanto al destino final de energía consumida, el país tiene una distribución en la que se destaca el transporte como principal usuario (33%), seguido del sector residencial y la industria en iguales proporciones (26%) y con menor participación del sector comercial, público (8%) y agropecuario (7%) (Figura 2-a).El uso energético del sector residencial, como así también del comercial y público, radica principalmente en el consumo de gas distribuido (63%), el cual no logra abastecer a toda la superficie nacional dando lugar a una pequeña contribución de gas licuado (Figura 2-b). En segundo lugar, el consumo del sector presenta una destacada participación de la energía eléctrica, siendo muy importante considerar que en Argentina la electricidad se origina en centrales térmicas que, además de ser poco eficientes, utilizan principalmente gas distribuido para su generación. Se puede ver entonces que el consumo energético residencial, además de tratarse de uno de los sectores con mayor demanda, implica directa e indirectamente una gran emisión de dióxido de carbono al medio ambiente, llegando incluso a superar en los últimos años al sector industrial (International Energy Agency, 2019).

La construcción es en sí misma una de las industrias más contaminante y que más recursos naturales utiliza a nivel mundial. La producción de los materiales y el proceso constructivo como tal, implican importantes emisiones de gases de efecto invernadero, que se ven aún más incrementados durante la vida útil de los edificios. Los mayores requerimientos de energía en el sector residencial son para calefacción y refrigeración, es decir aquello relacionado al confort térmico. Particularmente en Argentina, más de la mitad del gas distribuido por redes tiene el fin de calefaccionar (Subsecretaría de Planeamiento Energético, 2019). El confort térmico es una condición en la que se expresa la satisfacción de las personas con el ambiente; influye en su desempeño cotidiano y en el trabajo, interactuando directamente con aspectos socio psicológicos, fisiológicos y físicos. Un hogar frío incrementa los riesgos de enfermedades cardiovasculares y respiratorias, así como deterioros en la salud mental (Saint Gobain, s.f.). La construcción eficiente considera las numerosas características de una vivienda que tienen una incidencia directa en los requerimientos energéticos, buscando la reducción de los consumos sin sacrificar prestaciones, especialmente el confort térmico. Adoptar estas prácticas tiene la potencialidad de minimizar rotundamente las emisiones de gases de efecto invernadero sin mayores inversiones en comparación con otras industrias (Figura 3). (Mackres, 2016).

La inercia térmica es la propiedad que indica la cantidad de calor que puede conservar un cuerpo y la velocidad con que este la cede o absorbe del entorno. No se trata de una magnitud física en sí misma, sino que depende de la masa o densidad, del calor específico, del coeficiente de conductividad térmica del material y de la geometría del cuerpo (espesor).
La inercia térmica se aplica en las construcciones para lograr:
Confort térmico.
Optimizar los consumos de energía para calefacción y refrigeración.
Los elementos con inercia térmica absorben y ceden el calor lentamente, lo que genera un retardo (o desfase) del ingreso de la temperatura exterior al interior y viceversa, y también una atenuación (o amortiguamiento) de las amplitudes de las temperaturas extremas. Este efecto permite que los edificios permanezcan más tiempo en la zona de confort sin necesidad de gastos energéticos adicionales, lo que posibilita ahorros de manera gratuita porque son inherentes al material. De ese modo se puede contribuir a la reducción del uso de combustibles fósiles y emisiones contaminantes. (Figura 4). (Instituto Español del Cemento y sus Aplicaciones, 2019)

La evolución de la temperatura sobre la cara exterior presenta un valor mínimo en horas tempranas del día y un valor máximo durante la tarde, en función de la ubicación y orientación del cerramiento. En la Figura 5 se observa como varía la temperatura sobre la cara exterior de un muro con inercia térmica a lo largo de un día, mientras que la temperatura en la cara interior es casi constante y cercana a la temperatura de confort; aun cuando en el exterior las temperaturas descienden considerablemente.

Las construcciones con inercia térmica necesitan más tiempo para calentarse y enfriarse, que las construcciones livianas. Tal como sucedía en las edificaciones antiguas de muros de grandes espesores y con materiales de mucha densidad (como el adobe, piedras y/o ladrillos cerámicos macizos), las paredes se calientan lentamente, y tardan mucho en llegar a una temperatura adecuada. Inversamente al detener la calefacción, los muros devuelven lentamente el calor acumulado. Por esta razón no se recomienda el uso de inercia térmica en locales de ocupación intermitente, que se acondicionan temporalmente como oficinas, salas de reuniones, casas de fin de semana, etc., y donde las temperaturas exteriores sean cercanas a las temperaturas de confort; en estas situaciones es mejor utilizar sistemas livianos.
En las construcciones actuales se utilizan cerramientos de poco espesor y poca densidad (poca inercia), en ellas es factible alcanzar rápidamente la temperatura deseada en los interiores, pero para mantenerla es necesario utilizar importantes aislaciones y el funcionamiento continuo de equipos de climatización; lo que incrementa los consumos de energía, en relación a las construcciones con inercia térmica (Mac Donell y Mac Donell, 1999). Los beneficios que aporta la inercia térmica se pueden maximizar si se colocan materiales aislantes por el lado exterior (Figuras 6 y 7), y si se evitan los puentes térmicos; de esta manera se pueden disminuir las pérdidas (en los periodos fríos) y las ganancias de calor (en los periodos cálidos).


Para aprovechar las características de la inercia térmica en las construcciones es primordial lograr un buen diseño arquitectónico. La arquitectura bioclimática es una disciplina que busca obtener ambientes interiores confortables para sus ocupantes con un mínimo uso de energías convencionales y mediante disposiciones puramente arquitectónicas. Las estrategias bioclimáticas que se aplican en las construcciones se pueden clasificar según sea la época del año y el tipo de sistema utilizado para el acondicionamiento térmico (Tabla 1).

En el diseño de una construcción bioclimática se tienen en cuenta múltiples factores, que al ser considerados junto al efecto de inercia térmica que brindan materiales como el hormigón, contribuyen a lograr su adecuado aprovechamiento.
La orientación de un edificio es una cuestión fundamental ya que influye en la captación de energía solar para aprovechamiento pasivo y activo de la misma, en el ingreso de luz natural y el diseño de protecciones solares, como aleros y parasoles, así como también en el diseño de las ventilaciones y sus protecciones.
La mejor orientación de los espacios de mayor habitabilidad es hacia el norte en el hemisferio sur, para mayor aprovechamiento de la radiación solar, dejando los locales de servicio, hacia el sur. En climas cálidos, se recomienda plantear protecciones solares en las orientaciones Este y Oeste, tales como galerías, pérgolas, árboles, toldos, etc.
Es necesario evaluar la influencia de la radiación solar sobre los distintos planos de la envolvente durante las diferentes estaciones del año y horas del día, especialmente para favorecer, o no, su incidencia sobre elementos con alta inercia térmica, según sea conveniente. Por ejemplo, una cubierta plana recibirá mayor radiación en el verano debido a que los rayos solares inciden con mayor perpendicularidad a la misma. Un muro orientado al norte interceptará mayor radiación en el invierno debido a la baja inclinación del sol, lo que determina una mayor perpendicularidad de los rayos solares hacia dicha orientación. (Gonzalo, 2015).
Una adecuada ventilación natural cumple la importante función de renovar el aire interior para lograr condiciones higiénicas y mantener una temperatura interior que sea agradable, lo que permite disminuir el uso de sistemas de climatización con energías convencionales. Para poder proyectar la ventilación natural adecuada en cada lugar en particular, se deben analizar las direcciones y velocidades de los vientos preponderantes.
Teniendo en cuenta las características de cada zona, se recomienda beneficiar la ventilación natural en verano, esto depende de la dirección del viento dominante y de la ubicación de ventanas respecto al mismo. Para el caso de climas cálidos y sobre todo húmedos, la ventilación es uno de los factores de mayor importancia que puede facilitar el acercamiento a las condiciones de confort. Es conveniente que se coloquen ventanas de entrada de aire en las zonas de mayor presión y de salida en las de menor, para facilitar la ventilación cruzada.
En invierno se deben evitar las pérdidas de calor, disminuyendo la incidencia de los vientos dominantes de invierno sobre los edificios, por lo tanto, se deben proteger o evitar infiltraciones en las aberturas, prever en el diseño exterior barreras arbóreas que frenen parte de su velocidad o actúen como corta vientos. Es muy importante estudiar la disposición en planta y altura de las aberturas, para lograr una adecuada distribución del flujo de aire y especialmente para asegurar su incidencia en los elementos con alta inercia térmica. Para estos climas es recomendable un diseño de planta compacta, es decir con una baja relación entre la superficie envolvente y el volumen que encierra, disponiendo las menores superficies enfrentadas a los vientos dominantes de invierno y disminuyendo en lo posible las aberturas en ellos.
Además, en todo diseño bioclimático es fundamental controlar la formación de puentes térmicos que afecten el desempeño energético de una edificación ya que son zonas por donde se pierde o gana calor no deseado. Los mismos son puntos singulares en los que la transmitancia térmica se ve aumentada, y se presentan en los encuentros de muros exteriores con elementos constructivos salientes, en la inserción de un elemento de menor resistencia térmica que el resto del paramento o también por cambio en los espesores de materiales. Los puentes térmicos se pueden evitar al considerar el aislamiento de envolvente continuo, aislamiento en zonas con cambio de material o geometrías complejas, y el cuidado y control en la calidad de la construcción.
El estudio del clima y la ubicación geográfica son los principios y fundamentos para poder aplicar la arquitectura bioclimática. La Norma IRAM 11603 define una clasificación bioambiental de la República Argentina, la cual divide al país en seis zonas bioclimáticas; desde una zona muy cálida en el noreste; a una muy fría en el sur, pasando por zonas templadas en la región central. A su vez, se establece la caracterización de estos microclimas y su evaluación desde el punto de vista del acondicionamiento térmico de edificios, brindando recomendaciones de diseño para cada zona.
En líneas generales la norma define como orientación favorable la Norte-Este para todas las zonas, aconsejando la aplicación de todos los elementos y/o recursos que tiendan al mejoramiento de la inercia térmica en la región central, abarcando la provincia de Mendoza y San Luis, el sur de Córdoba y Santa Fe y Norte de Buenos Aires y La Pampa, principalmente debido a que estas zonas se caracterizan por presentar grandes amplitudes térmicas durante el día, lo que predispone un mayor aprovechamiento de materiales con inercia térmica. Por el contrario, en las zonas cálidas en el noreste del país, la norma sugiere aislamiento en techos y muros hacia el Este-Oeste y proteger las superficies de la incidencia solar, siendo conveniente el uso de elementos con baja inercia térmica, es decir de cerramientos livianos. Para el resto del país, de clima frío, la aislación térmica es lo primordial.
La inercia térmica se puede utilizar de manera sencilla en edificios, a partir de las estrategias antes mencionadas, mediante diseños pasivos de acumulación de calor, con sistemas que permiten calefaccionar un edificio en el invierno gracias al ingreso de radiación a través de las aberturas pudiendo complementarlas con elementos de control solar, capaces de redirigir de manera selectiva la radiación hacia los elementos masivos. Durante las horas nocturnas la radiación acumulada durante el día es aprovechada, debiéndose controlar las pérdidas por las superficies vidriadas (Figura 8).

Especialmente en climas fríos se pueden utilizar espacios vidriados adosados (invernaderos) o muros termoconvectivos (muro Trombe), con el objetivo de potenciar el uso de la radiación solar directa en forma pasiva para calefaccionar la vivienda (Figura 9).

Por otro lado, en aquellas zonas donde en verano se presenten importantes variaciones térmicas en el día, se puede hacer uso de la inercia térmica impidiendo el ingreso de radiación solar mediante protecciones en las aberturas; y durante la noche, cuando la temperatura exterior disminuye, ventilando el interior para dejar escapar la energía acumulada durante el día (Figura 10).

Resulta sumamente importante destacar que la ubicación de los elementos masivos de hormigón dentro de la estructura juega un papel fundamental en el eficiente desempeño de su inercia térmica. Tal como se mencionó, la orientación del edificio en una zona de emplazamiento determinada, junto al flujo de ventilación previsto, son importantes consideraciones a evaluar para lograr la incidencia buscada en cada componente, tanto en términos de captación como ventilación. Usualmente la masa térmica en los edificios se concentra en las paredes exteriores, pisos y techos, y para lograr que estos elementos-consigan enfriarse cuando se requiera, es necesario analizar la ubicación de las aberturas garantizando un adecuado flujo de ventilación que incida en dichas superficies (Figura 11).

Otra manera de aprovechamiento de la inercia térmica es a partir de la incorporación de dispositivos electro-mecánicos que mejoran el rendimiento de los sistemas pasivos y que a su vez los complementan. Para refrigerar de manera más rápida y efectiva los elementos masivos presentes en un edificio, se puede hacer circular corrientes forzadas de aire, de manera que se incremente la eficiencia en el proceso de intercambio de calor entre la superficie masiva y el aire (Figura 12). Esta estrategia se logra a través de medios mecánicos que hacen circular aire durante las horas nocturnas, consiguiendo así refrigerar los cerramientos con masa térmica y manteniéndolos fríos hasta el día siguiente. En la Figura 12 se presenta un caso de estudio de un prototipo de vivienda de hormigón donde se incorporó ventilación nocturna forzada. Se puede observar que el enfriamiento de un cerramiento mediante la circulación del aire, es mucho más eficaz que en un muro no ventilado (Instituto Español del Cemento y sus Aplicaciones, 2019).

La circulación forzada de aire es un sistema de refrigeración acotado, tiene un límite operativo para evitar la incomodidad en los usuarios, causada por las corrientes de aire con velocidades muy elevadas. Es por ello que una solución alternativa y superadora podría ser la activación térmica de los elementos masivos, ya sea ventilándolos internamente o, de manera más eficiente, haciendo circular agua a determinada temperatura por tubos embebidos (Figura 13). Este sistema tiene mayor eficiencia si se aplica en los techos, ya que, al no contener elementos de interferencia, como muebles y otros elementos, presentan una notable ventaja en el intercambio del calor con el ambiente.

La activación térmica de la estructura permite controlar mecánicamente la temperatura de la masa térmica del edificio y maximizar los beneficios de la inercia térmica, estabilizando la temperatura interior del edificio. Las principales ventajas, desde el punto de vista del consumo es que, al desacoplarlo de la demanda, la acumulación de energía se hace de manera constante, eliminando picos y, por lo tanto, reduciendo el tamaño y la potencia de los equipos de climatización. Además, dicha acumulación se hace durante las horas valle, cuando el costo de la energía es menor.
Se trata de un sistema ideal para la utilización de energías renovables, principalmente debido a que la temperatura del agua que circula funcionando tanto para calefaccionar como refrigerar, no precisa temperaturas extremas, redundando en una mejora sustancial del comportamiento energético del edificio.
Para evidenciar el potencial de la inercia térmica, particularmente del hormigón, en la eficiencia energética de los edificios, el Instituto Español del Cemento y sus Aplicaciones estudió el caso de un edificio de viviendas colectivas con un diseño estrictamente pasivo. Se evaluó su comportamiento con dos tipos de cerramiento, por un lado, uno liviano convencional (módulo 1) y otro de hormigón (módulo 2). En la Figura 14 se grafican los consumos de energía para estos módulos de vivienda idénticos, con distintas ubicaciones en España, para calefacción y refrigeración. El módulo 2 presenta menores valores gracias a la inercia térmica del hormigón, consiguiendo ahorros aproximadamente de 12% para calefacción y de 20% para refrigeración (Intituto del Cemento Portland Argentino-Instituto Español del Cemento y sus Aplicaciones, 2020)

En búsqueda de la optimización en el uso de la masa térmica, a partir del caso anterior, se realizó un prototipo de vivienda de tamaño real denominado “ECHOR”, con predominancia del hormigón como material constitutivo. En su diseño se incorporó la ventilación forzada para enfriar de manera más rápida los elementos masivos del modelo. También se introdujeron otras mejoras, como la construcción de un espacio vidriado a modo de invernadero sobre la fachada propicia, para aprovechar la incidencia de la radiación solar y lograr reducir la demanda de calefacción. Además, se consideró la instalación de equipos más eficientes como parte de la mejora en el consumo energético. Teniendo inicialmente un módulo con caracterización energética D (materiales livianos en el cerramiento), a partir de estos simples criterios adoptados para el aprovechamiento de la inercia térmica en la envolvente, se consiguió eliminar completamente la demanda para refrigeración del edificio y reducir considerablemente aquella necesaria para calefacción, alcanzando así la mejor caracterización en términos de eficiencia energética del módulo (categoría A). Lo mismo se traduce en un ahorro económico de hasta un 67% (Tabla 2)(Instituto Torroja, 2017).

El parámetro utilizado para caracterizar a un material según su comportamiento térmico es la conductividad (λi), que se define como el flujo de calor transmitido a través de un material, de espesor unitario, por unidad de superficie y para un gradiente unitario de temperatura en su sección transversal. La conductividad se mide en W/m/°C. Cuanto más alta sea la conductividad, menor será su resistencia al paso del calor. (Instituto del Cemento Portland Argentino, 2013a). La conductividad térmica del hormigón simple es de 0,8 a 1.2 W/m/°C y en el hormigón armado es alrededor de 1,5 W/m/°C.
Si se tienen en cuenta los espesores de los diferentes componentes de la envolvente de un edificio, que a su vez tienen diferente conductividad térmica, se define la resistencia térmica total (Rt), que es una medida de la resistencia a la transferencia de calor bajo condiciones de flujo estacionario (Schokker, 2010), mediante la siguiente expresión:
[1]Siendo:
Rsi y Rse las resistencias superficiales interior y exterior del muro [m2 °C/W]. Los valores de las resistencias térmicas superficiales se encuentran establecidos en la norma IRAM 11601.
ei: espesor de cada capa de material [m].
λi: conductividad térmica de cada material [W/m/°C].
Como inversa de la resistencia térmica total se calcula la transmitancia térmica (denominada K o U según el país), parámetro utilizado para verificar las condiciones higrotérmicas de muros y techos (Instituto del Cemento Portland Argentino, 2013b)
[2]Las normas argentinas vigentes utilizan estos parámetros para analizar el comportamiento higrotérmico de los cerramientos, fijando una temperatura de confort interior y una exterior correspondiente a la situación más desfavorable. Se trabaja en una condición de flujo estacionario y se determina el flujo de calor (Q) a partir de la Ley de Fourier, que depende de la diferencia de temperatura entre las dos caras de la pared y de la conductividad de los materiales que la componen (Muñoz Vásquez y Thomas, 2015), y se calcula como:
[3]Siendo:
A: área expuesta [m2].
ΔT: diferencia de temperatura entre ambas caras del muro [°C].
U: transmitancia térmica [W/m2 /°C]
Si bien este cálculo es de utilidad en el caso de ventanales, cerramientos o muros de escaso espesor, donde el flujo de calor se ajusta rápidamente a la diferencia de temperaturas entre las caras externa e interna, el flujo de calor que ingresa al interior por muros compuestos de mayor espesor no acompaña a esta diferencia (Muñoz Vásquez y Thomas, 2015) y por lo tanto puede generar errores en la estimación del flujo real de calor y de las variaciones internas de temperatura (Instituto del Cemento Portland Argentino, 2013).
El cálculo del flujo de calor (Q) en estado estacionario no tiene en cuenta la acumulación y el retraso de la entrega de calor a través de un material, como el hormigón, que ofrece los beneficios de la inercia o masa térmica (Schokker, 2010). De todas maneras, según se indica en el trabajo del (Instituto del Cemento Portland Argentino, 2013), para la estación más condicionante (invierno), las variaciones no introducen errores significativos (esto se debe a que hay un importante salto térmico entre el exterior y el interior y la amplitud térmica exterior es generalmente baja).
El gráfico presentado en la Figura 15 corresponde a un experimento en el cual se sometió un muro de hormigón a una variación externa de temperatura entre 6°C y 37°C durante 24 horas, en tanto que la superficie interior se mantuvo a una temperatura estable de confort entre 22 y 23°C. Por un lado, se calculó el flujo de calor por conducción hacia el interior, y por lo tanto la energía necesaria para mantener la temperatura interna, y el diferencial de temperatura entre ambos lados del muro (curva roja). Por otra parte, se midió el flujo real de calor a través del muro (curva azul). Como se puede apreciar la diferencia entre lo calculado y lo medido realmente es significativa: el autor indica que fue del 42%.

Lo anterior permite inferir que el efecto de la masa o inercia térmica no es tenido en cuenta cuando se trabaja en condición de flujo estacionario, y que la conductividad y la transmitancia térmica por sí solas no permiten definir el comportamiento térmico de un material salvo en condición de flujo estacionario, es decir, cuando las temperaturas a ambos lados de la estructura se mantienen constantes en el tiempo. Esto se puede dar en estructuras muy delgadas y de alta conductividad térmica, donde esta condición de equilibrio se alcanza rápidamente, o bien en zonas o épocas del año donde la amplitud térmica es reducida. En el caso de estructuras de mayor masa y cuando la temperatura de al menos una de las caras no es constante, el flujo es no estacionario y se producen dos fenómenos: un retardo en la ocurrencia de los picos de temperatura en el interior del edificio y una amortiguación de la amplitud de variación de las temperaturas.
Además de la conductividad térmica (λ), los principales parámetros que afectan el comportamiento térmico de un material opaco son: la densidad (ρ) [kg/m3] y el calor específico (Cp) [J/kg/°C]. Este último término se define como la cantidad de calor que hay que suministrar a un cuerpo por unidad de masa, para elevar su temperatura en 1°C, y representa su capacidad de almacenar calor. Los materiales con elevado calor específico como el hormigón, la mampostería y el agua, se pueden utilizar ventajosamente para conservar energía calórica (CIBSE, 2013).
Combinando los tres parámetros: conductividad, densidad y calor específico, se puede determinar la difusividad térmica (α), que es un indicador que mide la velocidad con la cual se conduce el calor dentro del material y se calcula como:
[4]La profundidad dentro del material a la que pueden llegar los cambios diarios de temperatura, por ejemplo, un muro de hormigón, depende de la difusividad térmica. Materiales con una mayor difusividad térmica pueden ser más efectivos para almacenamiento cíclico de calor a mayor profundidad (CIBSE, 2013). Materiales con alto calor específico y densidad y, por lo tanto, baja difusividad térmica, tienen el potencial de una alta masa térmica. En las Figuras 16 a y b se muestran la capacidad y difusividad térmica de diferentes materiales de manera comparativa con el hormigón. La capacidad térmica o calorífica [J/°C] se define como el producto del calor específico de un material por su masa.
En valores absolutos el hormigón tiene un calor específico de 880 J/kg/°C y una difusividad térmica variable entre 5,38 y 7,53 m2/s. Conceptualmente una mayor masa térmica producirá un mayor retraso entre el pico de temperatura exterior e interior y una menor amplitud de la misma (Figura 17).


Por otra parte, se define la efusividad térmica (B) como:
[5]La efusividad térmica es utilizada para representar la capacidad del material para absorber o liberar calor. En (CIBSE, 2013) se menciona a este parámetro como “Inercia Térmica” e indica la cantidad de calor que puede conservar un cuerpo y la velocidad con que este la cede o absorbe del entorno. En general, cuanto mayor sea la densidad y el calor específico del material, mayor será la inercia térmica. Sin embargo, la conductividad térmica debe ser lo suficientemente alta para permitir la transferencia de calor en el material, pero no debe exceder de una cierta conductividad con el fin de lograr cierto retraso en el tiempo necesario para el proceso.
Los materiales con alta efusividad térmica tienen gran capacidad de almacenamiento de calor y lo disipan fácilmente de su superficie. (CIBSE, 2013). En la Tabla 3 se analiza como las variaciones de conductividad térmica, densidad y calor específico, afectan la difusividad y la efusividad térmica de un elemento.

Referencias: “↓” = disminuyen, “↑” = aumentan, “=” se mantienen constantes.
Además de los parámetros térmicos mencionados anteriormente, en las superficies de los muros o techos interviene un efecto de convección y radiación que domina de manera más directa la cantidad de calor transferido desde o hacia el ambiente. Los coeficientes de superficie son determinados por la rugosidad, forma y emisividad (radiación) de la superficie, y por la velocidad y turbulencia del aire que pasa a través de la superficie (convección).
Si bien la difusividad y efusividad térmica describen mejor el comportamiento térmico de un muro, no resuelven el problema del flujo no estacionario y no permiten determinar la atenuación o amortiguamiento del flujo de energía en función del espesor del material, ni el retardo entre la diferencia máxima de temperatura y el máximo flujo de calor (Muñoz Vásquez y Thomas, 2015). Para cuantificar el amortiguamiento y el retardo consecuencia de la inercia térmica, se requiere determinar las propiedades dinámicas de transferencia de calor. Los cálculos del flujo de calor en estas condiciones son complejos y se recurre a parámetros tales como la admitancia, que define la capacidad de transferencia de calor desde la estructura hacia el ambiente (o viceversa), y la transmitancia dinámica que regula el flujo de calor dentro del muro para una condición de flujo no estacionario. A partir de estos parámetros surgen métodos de cálculo simplificados que permiten predecir los efectos de la inercia térmica. La complejidad de su cálculo excede el alcance de este trabajo, pero se expondrán los aspectos conceptuales.
En primer lugar, la admitancia permite describir la respuesta térmica dinámica de los edificios a las variaciones periódicas y sinusoidales de las temperaturas exteriores (Muñoz Vásquez y Thomas, 2015). Dicho parámetro es clave para determinar la respuesta de la superficie interna del edificio al flujo de calor. Este parámetro depende de las propiedades del material: densidad, capacidad y conductividad térmica en los primeros 0,10 m desde la superficie, para un ciclo de 24 horas; y también de las oscilaciones de temperatura y de la resistencia térmica de la capa superficial de aire (Muñoz Vásquez y Thomas, 2015). La admitancia es una medida de la facilidad con que la energía calórica pasa del muro al ambiente o viceversa, por la diferencia de temperatura (CIBSE, 2013); se designa comúnmente con la letra (Y) y su unidad de medida es [W/m2/°C]. En referencia a ella, el método de cálculo del impacto de la inercia térmica se conoce como “método de la admitancia” y es adoptado por algunas normas internacionales como la ISO 13786 y un modelo de cálculo en línea se puede encontrar en (HTflux, 2018) y (The Concrete Center, 2010).
Este parámetro se define como la relación entre la amplitud de la variación sinusoidal de la energía absorbida por unidad de área y tiempo (o flujo de calor en la superficie), (q) [W/m2], y la correspondiente amplitud de la variación de temperatura, (T) [°C], cuando en la contracara del muro se fija una temperatura constante (i. e., se trata del caso isotérmico). (Muñoz Vásquez y Thomas, 2015).
El otro concepto es la transmitancia dinámica (u), y se utiliza cuando hay muros compuestos con diferentes capas de materiales. Este parámetro relaciona el flujo de calor saliente de una capa interior del muro y la amplitud en la variación de temperatura exterior.
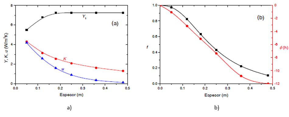
Existe cierta similitud entre la admitancia, la transmitancia dinámica, y la transmitancia térmica de un cerramiento porque las unidades para las tres es la misma, [W/m2/ºC], pero la transmitancia térmica se refiere al estado estacionario y no depende de la densidad o del calor específico del material. En tanto que la admitancia como la transmitancia dinámica son números complejos y pueden expresarse mediante una amplitud y una fase y dependen de las características del material del muro. La amortiguación y el tiempo de retraso entre la ocurrencia de las temperaturas máximas a cada lado de la pared, son función de la transmitancia dinámica. A modo de ejemplo, en las Figuras 18 a y b se representan gráficamente los valores de estos parámetros en función del espesor de un muro de mampostería.

En la Figura 18-a se observa que la transmitancia térmica decrece con el espesor del muro, pero que la transmitancia dinámica decrece aún más, indicando una reducción mayor del calor que llega al lado interno con respecto al calculado considerando un flujo estacionario. Por otra parte, la admitancia crece hasta los 200 mm de espesor del muro y luego se mantiene constante. Se suele adoptar la masa de los muros como un indicador de la masa térmica, pero si bien el factor de amortiguación disminuye y el tiempo de retraso aumenta conforme aumenta la masa del muro, la relación no es unívoca. (Muñoz Vásquez y Thomas, 2015).
A continuación, se analizará cómo impactan algunas características del hormigón en el comportamiento térmico de cerramientos compuestos por el mismo material. En la Figura 19 se detalla la variación lineal de la capacidad térmica de muros de hormigón, uno de densidad normal (2320 kg/m3) y otro liviano (1760 kg(m3), con su espesor. Sin embargo, la práctica indica que para muros mayores a 200 mm de espesor no es posible aprovechar el incremento de la capacidad térmica (Schokker, 2010), debido a que para espesores superiores el calor no llega a atravesar el muro y al bajar la temperatura exterior el calor acumulado se disipa hacia el exterior perdiéndose el efecto de masa térmica buscado. Esto también es citado por (Hernandez, 2014) donde se muestra de manera similar el comportamiento de diferentes materiales y que en el caso del hormigón el espesor máximo aprovechable también se aproxima a los 200 mm.

A partir de información publicada por Schokker (2010) se verifica que la capacidad térmica varía linealmente con la densidad del hormigón. Por lo tanto, con la información de la Figura 19, se puede calcular la capacidad térmica de cerramientos de hormigón con diferente densidad y espesor, mediante interpolación lineal.
Por otra parte, según (ACI MCP, 2014) se ha demostrado empíricamente que la conductividad térmica depende del tipo de agregado utilizado en el hormigón y simplificadamente, de la densidad del mismo a partir de la siguiente ecuación:
[6]Siendo:
ρ: densidad del hormigón [kg/m3]
Por todo lo expuesto, la densidad del hormigón es el único parámetro del material que puede variarse para modificar la capacidad térmica, y en general, cuanto mayor es el peso específico de los materiales de construcción, mejor es su capacidad para almacenar grandes cantidades de energía calórica (Schokker, 2010) (Instituto del Cemento Portland Argentino, 2013) (Instituto Español del Cemento y sus Aplicaciones, 2019)
Otra propiedad que permite aprovechar aún más la acumulación de calor en la masa térmica del hormigón, es la baja reflectividad en su superficie, que se puede lograr mediante colores oscuros, mate o con textura, y que permitirán absorber más la energía solar que las superficies lisas, claras y brillantes (Instituto del Cemento Portland Argentino, 2013).
A partir de la herramienta de cálculo Dynamic Thermal Properties Calculator (The Concrete Center, 2010), se hicieron simulaciones de los parámetros térmicos de un muro de hormigón (admitancia, capacidad térmica, retardo y amortiguamiento) variando su espesor, considerando dos densidades de hormigón de peso normal (2300 y 2400 kg/m3) y un hormigón liviano de 1800 kg/m3. Los resultados de estas simulaciones se presentan en las Figuras 20 a y b.


En los gráficos puede observarse el comportamiento de la admitancia y la capacidad térmica, que verifica lo expresado en la bibliografía respecto a no poder aprovechar el efecto para muros mayores a los 200mm. Por otro lado, dentro del rango de hormigones de densidad normal, la diferencia de valores es despreciable y las curvas se encuentran prácticamente superpuestas. Sin embargo, cuando se utiliza un hormigón liviano, y por ende, se obtiene un material de menor densidad, se observa una reducción notable de los valores obtenidos para ambos parámetros.
Del análisis de la Figura 21 a) se obtiene para un muro de 200 mm, un retardo de 6 horas en los picos de temperatura exterior; pero si el muro es de 100 mm, ese retardo es la mitad, es decir sólo 3 horas, valor que aunque es menor, no es despreciable comparado con su poco espesor. También se observa una muy buena correlación lineal entre el retardo obtenido y el espesor del muro, y que los valores de retardo obtenidos para cada espesor de muro son prácticamente iguales, independientemente de la densidad del material evaluado. En resumen, el retardo depende del espesor que tenga el muro a evaluar, dentro de los rangos y densidades estudiados.
El gráfico de amortiguamiento (Figura 21 b)) muestra que, con un muro de 100 mm, aproximadamente el 90% de la amplitud de la curva de temperatura se mantiene, es decir, disminuye un 10%. Sin embargo, al aumentar el espesor del muro a 200 mm la amplitud se ve afectada de manera que sólo queda un 50% de la amplitud de la curva original, o sea disminuye en un 50%. Resumiendo, el amortiguamiento varía linealmente con el espesor del muro y, si se atiende a la densidad del hormigón, cuando se trata de peso normal este es prácticamente independiente del espesor. Por otro lado, al considerar un hormigón liviano, se observa que la curva es ligeramente superior (diferencia menor al 10%) y se pierde levemente el efecto de amortiguamiento.
Los valores obtenidos se contrastaron con otros brindados por otra herramienta de cálculo disponible en internet (HTflux, 2018) arrojando valores muy similares en ambos casos.
Dado el contexto mundial de consumos elevados de energías fósiles y las consecuentes grandes emisiones de gases de efecto invernadero, utilizar el efecto de inercia térmica del hormigón en las construcciones, puede reducir los consumos de energía para climatización y brindar confort térmico a los usuarios, lo cual incide en la salud y la productividad de las personas en sus labores.
Para lograr utilizar la inercia térmica de forma eficiente, se debe tener en cuenta una serie de factores de diseño bioclimáticos, tales como la orientación de los locales y aberturas para controlar el ingreso de la radiación solar y ventilación natural, la forma de los edificios, la composición de la envolvente, etc; siendo sumamente importante la ubicación geográfica y sus condiciones climáticas. En zonas frías con alta radiación solar, durante el invierno se aprovechan los beneficios de los elementos constructivos con inercia térmica; pero en zonas cálidas, con elevadas temperaturas durante el día y la noche, se debe utilizar con cuidado la inercia térmica, porque si ocurre el retraso de la onda de calor en las horas de sueño, puede ser perjudicial. Asimismo, debe evitarse el uso de inercia térmica en locales de ocupación intermitente, siendo una mejor opción en estos casos los cerramientos livianos.
La inercia térmica se puede aprovechar de forma pasiva, a través de la ganancia solar directa e indirecta en períodos invernales, y mediante elementos de protección solar y ventilación nocturna para épocas estivales, pudiéndose maximizar su efecto con ventilación forzada para enfriar los elementos masivos, y mediante la activación térmica, utilizando conductos que refrigeren interiormente. Existen casos publicados que han logrado un ahorro energético mayor al 60% para el acondicionamiento térmico.
La masa térmica depende de factores tales como la conductividad, la densidad del material, el calor específico del mismo y el espesor del elemento considerado. Alta densidad, calor específico, espesor, o combinación de estos suponen una alta masa térmica, como es el caso de los muros de hormigón. En este caso, las condiciones de flujo estacionario de calor no son correctas ya que se requiere un tiempo para que el calor fluya entre ambos lados del muro y en este tiempo la temperatura de al menos una de las caras (generalmente la exterior) no se mantiene constante, sino que varía periódicamente de manera semejante a una sinusoidal y, además, se produce una amortiguación de la variación de estas temperaturas en el interior del muro.
Podríamos definir el efecto de la inercia térmica, presente en cada elemento de una estructura, como la combinación de la amortiguación y del retraso en el flujo de calor. La determinación de estos parámetros requiere de cálculos complejos de flujo de calor, pero existen métodos simplificados como el método de la admitancia que tiene en cuenta la capacidad de transferencia de calor desde la estructura hacia el ambiente (o viceversa) y de la transmitancia dinámica que regula el flujo de calor dentro de un elemento compuesto por varias capas.
Se analizó el efecto de la densidad del hormigón y el espesor de muro con diferentes propiedades térmicas, mediante herramientas de cálculo sencillas libres disponibles en la internet. Si bien la admitancia y la capacidad térmica se vieron fuertemente reducidas en muros simulados de hormigón liviano, el retardo mostró valores similares independientemente de la densidad del hormigón; así como también el amortiguamiento, que fue levemente inferior para hormigones livianos respecto a hormigones de densidad normal. Se infiere que, tanto los elementos de hormigón liviano como los de densidad normal, no requieren de un gran espesor para lograr el efecto de inercia térmica. Además, es importante tener en cuenta que en gran parte de las edificaciones la presencia del hormigón, generalmente armado, resulta inevitable al integrar la estructura principal de las mismas. Esta situación brinda la valiosa posibilidad de aprovechamiento de su inercia térmica sólo mediante la aplicación de estrategias de diseño adecuadas, mejorando así la eficiencia energética de una edificación sin necesidad de mayores inversiones.




















Referencias: “↓” = disminuyen, “↑” = aumentan, “=” se mantienen constantes.





