

Artículos
Producción de Astaxantina y expresión de genes en Haematococcus pluvialis (Chlorophyceae, Volvocales) bajo condiciones de estrés por deficiencia de nitrógeno y alta irradiancia
Production of Astaxanthin and Expression of Genes in Haematococcus pluvialis (Chlorophyceae, Volvocales) under Conditions of Stress by Nitrogen Deficiency and High Irriadiance
Producción de Astaxantina y expresión de genes en Haematococcus pluvialis (Chlorophyceae, Volvocales) bajo condiciones de estrés por deficiencia de nitrógeno y alta irradiancia
Revista Mutis, vol. 9, núm. 2, 2019
Universidad de Bogotá Jorge Tadeo Lozano
Recepción: 28 Octubre 2019
Aprobación: 23 Enero 2020
Resumen: La astaxantina es un carotenoide y antioxidante utilizado en las industrias cosmética, farmacéutica y alimentaria. Se produce naturalmente en la microalga H. pluvialis cuando esta crece bajo efecto de factores de estrés, como la deficiencia de nutrientes y una irradiancia alta, entre otros. Por lo anterior, se propone como objetivo de esta investigación determinar la producción de astaxantina y la expresión de los genes relacionados con su biosíntesis bajo condiciones de estrés por deficiencia de nitrógeno (4,0 y 5,0 %) y una irradiancia alta. Para este trabajo se realizó un cultivo en medio rm con nitrógeno a 4,0 y 5,0 %, utilizando las siguientes condiciones: pH 6,7; ciclo luz/oscuridad 20 h: 4 h; temperatura 25 ºC; agitación continua; CO2 de 5 %; iluminación con lámparas fluorescentes blancas (Tlt 20w/54rs marca Philips); e irradiancia alta de 140 µE. Adicionalmente, se utilizó como control el crecimiento en el medio con nitrógeno en concentraciones normales bajo las mismas condiciones durante 36 días. El muestreo se realizó cada tercer día para cuantificación de astaxantina y clorofila y determinación de expresión de genes. El anova realizado estableció que no hay diferencias significativas entre los tratamientos (P = 0,053). Sin embargo, la producción de astaxantina fue de 3,52x10-6 µg cel-1 x mL-1 con una concentración de nitrógeno al 4,0 % y una irradiancia alta de 140 µE, incrementándose en 40 % frente a la producción obtenida con nitrógeno al 5,0 % (2,08x10- 6 ug cel-1 x mL-1). Los genes psy, pds, lcy, bkt y chy, se expresaron con nitrógeno al 4,0 %, mientras que con nitrógeno al 5,0 % solo se expresaron psy, pds y chy.
Palabras clave: microalga, carotenoide, bioproceso, irradiancia, lote, nutrientes.
Abstract: Astaxanthin is an antioxidant carotenoid used in cosmetic, pharmaceutic and food industries that is produced by microalgae H. pluvialis in natural form. It is a secondary metabolite that increases production when microalgae grows under stress conditions, like food deficiency and high irradiation, among others. The goal of this research was to test microalgae growing under nitrogen deficiency conditions in a concentration of 4.0-5.0% and evaluate astaxanthin production and gene expression in dye biosynthesis. For this purpose, a culture in rm medium was carried out with 4.0 and 5.0% nitrogen, using the following conditions: pH 6.7; light/dark cycle 20h: 4h; temperature 25 ºC; continuous agitation; 5% CO2; lighting with white fluorescent lamps (Tlt 20w/54rs Philips brand); and a high irradiance of 140 μE. The growth in the medium was used as a control with nitrogen in normal concentrations during 36 days (under the same conditions). Sampling was carried out every third day for quantification of astaxanthin and chlorophyll and the determination of gene expression. The anova performed established that there are no significant differences between treatments (P = 0.053). However, astaxanthin production with a nitrogen concentration of 4.0% and a high irradiance of 140 μE was 3.52x10-6 μg cell-1 x mL-1, increased by 40% when compared to that obtained with 5.0% nitrogen (2.08x10-6 ug cell-1 x mL-1). The psy, pds, lcy, bkt and chy genes were expressed with 4.0% nitrogen, while 5.0% nitrogen only allowed psy, pds and chy.
Keywords: Microalgae, carotenoid, bioprocess, irradiance, Batch, nutrients.
INTRODUCCIÓN
H. pluvialis es una microalga verde unicelular de agua dulce (Martínez-Silva, 2011) que tiene la capacidad de producir altas concentraciones de astaxantina de buena calidad. Esta producción se obtiene como mecanismo de protección y resistencia de la microalga frente a diferentes cambios drásticos en el ambiente (Kurmen, González, & Klotz, 2013; Domínguez-Bocanegra, Legarreta, Jerónimo, & Campocosio, 2004; González, Cifuentes, & Gómez, 2009) tales como: temperatura, intensidad lumínica, ciclos de luz-oscuridad (Wan et al., 2014), concentración de nutrientes (Cifuentes et al., 2003; Gong & Chen, 1998), pH (Sarada, Tripathi, & Ravishankar, 2002), las especies reactivas de oxígeno, las sales (Kobayashi, Kakizono, & Nagai, 1993), el medio de cultivo (Brinda, Sarada, Kamath, & Ravishankar, 2004; González et al., 2009; Imamoglu, Dalay, & Sukan, 2007) y las concentraciones de nitrógeno (Wang et al., 2014), características que le permiten acumular grandes cantidades del carotenoide (Kurmen et al., 2013).
La astaxantina (3,3’-dihidroxi-4,4’-diceto-ß, ß-caroteno) es un pigmento carotenoide de gran importancia, ya que es un antioxidante que neutraliza los radicales libres que dañan las células (Candelas-Cadillo et al., 2005). La astaxantina es de color rojo y es responsable de la coloración de la piel de algunos animales marinos como mariscos, langostas y camarones, los cuales no tienen la capacidad de sintetizarla, por lo tanto, este compuesto es suministrado en el alimento; en la industria de este tipo de alimentos, el uso de pigmentos carotenoides cumple como función principal actuar como antioxidante y promotor de la producción de vitamina A (Ponce-Palafox, Arredondo-Figueroa, & Vernon-Carter, 2006). Además, la astaxantina está unida a una proteína que define la capacidad de absorber el pigmento en el músculo del pez (Armenta, Guerrero-Legarreta, & Huerta, 2002).
La astaxantina posee otras aplicaciones en diferentes industrias, como la farmacéutica y cosmética, donde cumple funciones como protector solar, al prevenir el daño de la piel causado por los rayos UV, contribuye como factor antienvejecimiento y protector de la piel, aumenta la actividad inmunológica y la salud cardiovascular, disminuye los triglicéridos, aumenta el rendimiento y la recuperación física, es un potente antinflamatorio y favorece la recuperación en la artritis y el asma (Cerón, 2013; Domínguez et al., 2004). En la industria farmacéutica es un ingrediente de suplementos dietarios. Por su parte, en la industria cosmética es empleada en la protección de las membranas celulares contra el ataque de radicales libres (Kurmen et al., 2013).
Este pigmento carotenoide es producto del metabolismo secundario de la microalga H. pluvialis, de la cual representa 4,0 % del peso seco. El interés por la producción y comercialización de este pigmento ha llevado a que se destaque el cultivo de H. pluvialis como una fuente natural de gran interés debido a la calidad del pigmento que se obtiene de ella (Abalde, Orosa-García, Torres, & Cid, 1999). Esta microalga se comercializa a razón de usd 2500 por kilogramo y cuenta con un mercado mundial anual estimado en USD 200 millones. De otro lado, la demanda de astaxantina sintética hace que el consumo sea menos saludable, dando paso a la oportunidad de producir de astaxantina de forma natural mediante la microalga H. pluvialis (Ramírez-Landínez, 2013).
Una vez la microalga es expuesta a crecimiento bajo diferentes factores de estrés, se produce un estímulo en la producción de astaxantina que es seguido por cambios morfológicos que van desde un estado vegetativo, en la cual se encuentra con presencia de flagelos, pasando por el estado palmella, donde es circular desprovista de flagelos, hasta llegar a la aplanóspora, la cual es una célula esférica, roja y sin flagelos producida como respuesta al estrés producido para lograr la supervivencia.
La microalga H. pluvialis contiene 70 % de monoésteres de astaxantina, 10 % de diésteres de astaxantina y 5,0 % de astaxantina libre. El restante 15 % está compuesto por β-caroteno, cantaxantina, luteína y otros carotenoides (Córdoba-Castro et al., 2015). El aumento en la producción de astaxantina se ve reflejada cuando existe limitación de algunos nutrientes, la exposición a luz directa y la adición de otras sustancias en fase tardía de crecimiento, como el acetato de sodio, el cual hace que las aplanosporas tengan mayor peso seco y mayor contenido de pigmento. Una de los factores de estrés de mayor interés para aumentar la síntesis de este carotenoide, es la deficiencia de nutrientes como nitrógeno y fósforo, esenciales en el proceso de síntesis de este compuesto (Nunes et al., 2013).
La producción de astaxantina en la microalga H. pluvialis se genera por reacciones enzimáticas reguladas por la expresión de los genes involucrados en su ruta biosintética, tales como fitoeno sintasa (psy), β-caroteno ketolasa (bkt), β-caroteno hidroxilasa (chy), fitoeno desaturasa (pds) y licopeno β-ciclasa (lcy) (Steinbrenner & Sandmann, 2006; Vidhyavathi, Venkatachalam, Sarada, & Ravishankar, 2008; Vidhyavathi, Sarada, & Ravishankar, 2009), como se muestra en la figura 1.

Teniendo en cuenta la capacidad de H. pluvialis para producir y acumular gran cantidad de astaxantina, así como la necesidad de determinar las condiciones óptimas para aumentar su producción, el objetivo del presente trabajo es determinar el efecto de la deficiencia nitrógeno, al 5,0 y 4,0 %, sobre la expresión de genes y la producción de astaxantina, para efectos de seleccionar condiciones de proceso que permitan escalar su cultivo y producir una buena cantidad de este carotenoide.
MATERIALES Y MÉTODOS
Microorganismo y cultivo
La microalga H. pluvialis fue obtenida de la colección de cultivos de algas de la Universidad de Texas (UTEX 2505), Estados Unidos, y suministrada por la facultad de Ingeniería de la Universidad de La Sabana, Colombia. La cepa se mantuvo en medio sólido y líquido Mes-Volvox (por recomendación de la UTEX), a baja irradiancia y una temperatura entre 15 y 20 °C.
El cultivo se realizó en medio de cultivo Mes-Volvox, el cual consistía de Ca(NO3)2. 4H2O 11,8 g 100 mL-1, MgSO4.7H2O 4 g 100 mL-1, Na2 glicerofosfato.5H2O 0,05 g L-1, KCl 0,05g/L, MES 1,95 g L-1, solución de metales piv 6 ml L-1, NH4Cl 0,026 g L-1, Vitamina B12 1ml L-1, hepes y biotina 1 ml L-1, ajustado a pH 6,7, luz blanca provista por lámparas fluorescentes (Tlt 20w/54RS marca Philips) con una irradiancia de 90 μE, fotoperiodo de 18 horas de luz y 6 horas de oscuridad, temperatura de 25 °C, CO2 al 5,0 % y agitación manual de 10 segundos al día. El cultivo se monitoreo por medio de microscopía en cámara de Neubauer para conteo y evaluación de parámetros como color (pigmento), morfología y viabilidad celular, cada tercer día.
Efecto de la deficiencia de nitrógeno sobre la producción de astaxantina Preparación del cultivo
El cultivo de H. pluvialis se realizó en sistema Batch por triplicado para cada tratamiento a ensayar, utilizando el medio de cultivo RM, el cual consistió de NaNO3 300 mg L-1, K2HPO4 80 mg L-1, KH2PO4 60 mg L-1, MgSO4.7H2O 10 mg L-1, CaCl2.2H20 58,5 mg L-1, edta 7,5 mg L-1, NaCl 20 mg L-1, H3BO3 0,3 mg L-1, MnSO4.H2O 1,5 mg L-1, ZnSO4.7H2O 0,1 mg L-1, (NH4)6Mo7O24.4H2O 0,3 mg L-1, CuSO4.5H2O 0,08 mg L-1, Co(NO3)2.6H2O 0,26 mg L-1, FeCl3.6H2O 17 mg L-1, ajustado a pH 6,7 (Imamoglu et al., 2007). Los tratamientos a ensayar fueron medio rm con concentraciones de nitrógeno normales, utilizado como control del estudio 300 mg/L de NaNO3, con deficiencia de nitrógeno al 4,0 %, 12,010 mg L-1 de NaNO3 (tratamiento 1) y con deficiencia de nitrógeno al 5,0 %, 15,013 mg L-1 de NaNO3 (tratamiento 2). El medio estéril con el pH ajustado se adicionó en biorreactores de 500 ml hasta un volumen de 350 ml. Los biorreactores se sellaron para garantizar esterilidad.
Se procedió a adicionar el inóculo de la microalga con una concentración de 1x104 células mL-1 a cada biorreactor. Se realizó el cultivo bajo las siguientes condiciones: pH 6,7, ciclo luz/oscuridad 20h: 4h, temperatura 25 ºC, agitación continua, CO2 5 %, iluminación con lámparas fluorescentes blancas (Tlt 20w/54RS marca Philips) e irradiancia de 140 μE. La toma de muestra se realizó cada tres días en forma aséptica. La conservación de las muestras se realizó en solución forma salina (1:9), en una proporción 1:1. Se tomaron 1,0 mL para realizar control del cultivo (conteo celular, viabilidad, morfología y registro fotográfico) y el resto de muestra se utilizó para medición de pH. Además, se tomaron 10 mL para cuantificación de pigmentos y 10mL para detección de genes. El tiempo de estudio fue de 36 días.
Determinación de concentración de clorofila y astaxantina
Las muestras fueron centrifugadas a 12.000 rpm durante 5 min. Posteriormente, se retiró el sobrenadante (medio de cultivo). Al paquete celular se le adicionó 1.0 mL de metanol al 90 % y se calentó durante 10 min a 60 ºC en baño serológico y a continuación se centrifugó a 12.000 rpm durante 5 min (APHA, 1992).
Para la cuantificación de clorofila y astaxantina se realizó la curva de calibración con patrones de referencia, para lo cual se hizo la lectura espectrofotométrica en el equipo Thermo Scientific Evolution 201 a una longitud de onda de 667nm para clorofila y 477nm para astaxantina, tras lo cual se hallaron concentraciones en (μg/ml). Para la elaboración de las gráficas se utilizó la ecuación 1:
[Ecuación 1]Los resultados se expresaron en ug cel-1 x mL-1. Con base en dichos resultados, se realizaron gráficas para cada tratamiento de nitrógeno aplicado a los biorreactores.
Aislamiento de ARN y PCR
La extracción de ARN se hizo con Trizol (Invitrogen). La transcripción reversa se realizó siguiendo el protocolo RT2 First Strand Kit de la casa comercial Qiagen (2011). Los primer utilizados para la amplificación de psy, pds, lcy, bkt y chy fueron diseñados por Vidhyavathi et al. (2008) y se presentan en la tabla 1.

La separación de los productos de PCR se realizó en gel de agarosa al 1,5 %. Para su lectura e interpretación se utilizó el equipo BIORAD con un sistema de documentación de geles Gel Doc XR por luz UV, mediante el programa Quantity One. Se realizó la secuenciación de los productos de PCR (Mendoza et al., 2001) utilizando el secuenciador ABI 3730xl, obteniendo registro de los datos en tiempo real con el sistema LIMS (sistema de registro de laboratorios) y ofreciendo lectura de 650 pb a 1050 pb con criterio de calidad QV20. Los resultados obtenidos fueron analizados con el programa Chromas Lite versión 2.5.1 formato ab1.
Las secuencias en formato FASTQ obtenidas fueron interpoladas al programa The Basic Local Alignment Search Tool (BLAST), con el fin de encontrar la identidad de cada una de las secuencias analizadas y así confirmar la presencia de los genes de la cascada de biosíntesis de la astaxantina. La determinación de expresión de genes se realizó en el muestreo 6 (día 18 del cultivo), el muestreo 8 (día 24) y el muestreo 12 (día 36). Los muestreos se seleccionaron por la producción de astaxantina obtenida y se analizaron para cada tratamiento (nitrógeno al 4 %, nitrógeno al 5 % y control) (Chavarro, 2011).
Análisis estadístico
Los experimentos se realizaron por triplicado para cada tratamiento ensayado. Se aplicó el Software Dm FIT, con base en el modelo de Baranyi y Roberts (1994), para ajustar las curvas de crecimiento obtenidas. Además, se realizó un análisis de varianza anova (95 %) usando Excel 2010, para determinar diferencias significativas entre tratamientos (P < 0.05).
RESULTADOS
Cultivo de H. pluvialis
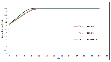
El crecimiento de H. pluvialis en el tratamiento control fue de 4.83x106 cel. mL-1, en el cual se utilizó el medio RM con la concentración de nitrógeno en la cantidad establecida para este medio (Niño-Castillo, Rodríguez-Rivera, Díaz, & Lancheros-Díaz, 2017). En el caso del tratamiento con medio RM con concentración de nitrógeno al 4,0 % el crecimiento registrado fue de 2.10x106 cel mL-1, mientras que para el tratamiento con medio RM con concentración de nitrógeno al 5,0 % fue de 1.38x106 cel. mL-1. En el control se observó un crecimiento mayor debido a que el medio de cultivo no presenta deficiencia de ningún nutriente (figura 2).

La velocidad de crecimiento para el control fue de 0,0030 cel. día-1, para el tratamiento con concentración de nitrógeno al 4,0 % fue de 0,0029 cel. día-1 y para el tratamiento con concentración de nitrógeno al 5,0 % fue 0,0028 cel. día-1, observando una velocidad de crecimiento mayor en el control con respecto a los tratamientos donde se utilizó una concentración de nitrógeno al 4,0 y 5,0 %.
El crecimiento de la microalga es una variable a tener en cuenta debido a que se puede ver afectada según la fuente de nitrógeno proporcionada por el medio. Según Sarada et al. (2002), el medio basal bold (BBM) que contiene nitrato de sodio, nitrato de amonio, nitrato de potasio y nitrato de calcio, arrojó resultados favorables con respecto a la producción de biomasa y astaxantina. Los resultados obtenidos en esta investigación, donde se utilizó el medio RM que contiene nitrato de sodio, permitió confirmar que la presencia de este nutriente es importante para el crecimiento de esta microalga, puesto que ni su deficiencia evitó observar crecimiento de esta microalga, identificando la fase exponencial en los tratamientos ensayados entre el día 9 y el día 18.
En el día 18 se obtuvo para el control una concentración de H. pluvialis de 4,23x106 cel mL-1. En el tratamiento con medio RM y concentración de nitrógeno al 4,0 % se obtuvo un crecimiento de la microalga de 1,85x106cel mL-1 y para el tratamiento de medio RM con concentración de nitrógeno al 5,0 % se obtuvo una concentración de 3,20x106 cel. mL-1, mostrando que en el tratamiento donde se utilizó una concentración de nitrógeno al 4,0 % disminuyó el crecimiento de esta microalga en 56 % frente al control. Por su parte, para el tratamiento donde se empleó en el medio una concentración del 5,0 %, el crecimiento de la microalga disminuyó 24 % frente al control.
En el día 21 de cultivo se obtuvo para el control un crecimiento de la microalga de 3,25x106 cel. mL-1. Para el tratamiento con concentración de nitrógeno al 4,0 % se registró un crecimiento de 1,76x106 cel. mL-1 y para el tratamiento con concentración con nitrógeno al 5,0 % de 2,50x106 cel. mL-1. Se observa que el crecimiento de la microalga en el tratamiento con medio RM con concentración de nitrógeno al 4,0 % disminuyó 46 % y en el tratamiento con medio RM con concentración de nitrógeno al 5,0 % disminuyó 23 % con respecto al control, en ambos casos. Estos resultados indican que la concentración de nitrógeno sí afecta el crecimiento de la microalga y que a menor concentración menor será su crecimiento, disminuyendo hasta 46 %.
Efecto de la deficiencia de nitrógeno y una irradiancia alta de 140 μE sobre la producción de astaxantina
El cultivo de H. pluvialis utilizado como control presentó una concentración inicial de astaxantina de 1,60 x10-7 μg cel-1 x mL-1 (muestreo 1, día 3), la cual fue en aumento hasta obtener una concentración final de 1,33 x10-6 μg cel-1 x mL-1 (muestreo 12, día 36) en el día 36 del experimento, con un incremento de 88 % (figura 3) y una disminución de la clorofila a medida que trascurría el crecimiento de la microalga. En el experimento se registró una concentración inicial de clorofila de 1,60 x 10-5 μg cel-1 x mL-1 y una concentración final de 7,38 x10-6 μg cel-1 x mL-1, con una disminución de la concentración de este pigmento de 53 %.
En la microalga H. pluvialis la disminución del nitrógeno es un factor que inhibe la biosíntesis de clorofila a y promueve la degradación de la clorofila b, como expresan Scibilia, Girolomoni, Berteotti, Alboresi y Ballottari (2015), quienes indican que la falta de nitrógeno impide la producción de clorofila en condiciones normales, retrasando así el proceso llevado a cabo por la microalga de fotosíntesis.
En la figura 3 se observa que la concentración de astaxantina tiene un comportamiento inversamente proporcional a la concentración de clorofila durante el proceso de crecimiento de H. pluvialis. Esto se debe a que en el tratamiento control, el cual contiene las concentraciones de nitrógeno adecuadas para el crecimiento de esta microalga, se observó microscópicamente que en el día 27 de crecimiento (muestreo 9) iniciaba la acumulación del pigmento en concentraciones mínimas, dándose una relación inversamente proporcional entre clorofila y astaxantina, con un aumento notorio de este último (figura 4).


En la producción de astaxantina para el tratamiento donde se utilizó medio RM con una concentración de nitrógeno al 4,0 %, expresada en ug/cel. x mL vs. días de muestreo, se observó que al comparar el control (figura 3) con el tratamiento con medio RM con nitrógeno al 4,0 %, este último tuvo una mejor producción de astaxantina (62 %) con una concentración de 3,52x10-6 μg cel-1 x mL-1 en el día 36 muestreo 12 (figura 5). La concentración de clorofila disminuyó a medida que la producción de astaxantina aumentaba con una concentración inicial (muestreo 1, día 3) de 4,23x10-5 μg cel-1 xmL-1 de muestra y una concentración final (muestreo 12, día 36) de 3,73x10-6 μg cel-1 x mL-1 (figura 6), mostrando una disminución de 91 %.


En el tratamiento en medio RM con una concentración de nitrógeno al 5,0 % en μg cel-1 x mL-1 vs. días de muestreo, se observó el mismo comportamiento del control (figura 3) y el tratamiento con nitrógeno al 4,0 % (figura 5), en los que se reiteró que la producción de clorofila es inversamente proporcional a la producción de astaxantina. La figura 7 permite evidenciar que este tratamiento tuvo una menor eficiencia de producción de astaxantina con respecto al tratamiento de RM con nitrógeno al 4,0 %, con una concentración de 2,08x10-6 μg cel-1 x mL-1 al día 36 (muestreo 12).

Al comparar la producción de astaxantina del tratamiento de RM con nitrógeno al 5,0 % con el control (figura 3) se observó que la producción fue mayor, por lo que se concluye que el factor de estrés de una concentración de nitrógeno al 5,0 % favorece la producción del pigmento. La concentración de clorofila desciende a medida que aumenta la concentración de astaxantina, la cual inició con una concentración (muestreo 1, día 3) de 1,69x10-5 μg/cel x mL y terminó con una concentración final (muestreo 12, día 36) de 1,85x10-6 μg/cel. x mL, mostrando una disminución de 89 %.
La diferencia de producción y/o acumulación del pigmento comparado con el tratamiento en el que se usó nitrógeno al 4,0 % fue de 1,44x10-6 μg/cel. x mL, mostrando una disminución de 41 % que evidencia que el tratamiento con una concentración de nitrógeno al 5,0 % favorece la producción, aunque no en cantidades mayores a las del tratamiento con una concentración de nitrógeno de 4,0 %. Este tratamiento (nitrógeno al 5,0 %) se observó microscópicamente, dando resultado de estrés al día 18 (muestreo 6), lo que indica que el proceso de síntesis de astaxantina es más lento en este tratamiento comparado con el tratamiento con una concentración de nitrógeno al 4,0 % (figura 8).

Al comparar la producción de astaxantina en los tratamientos 1 y 2 y control, se observó que la producción fue 40 % mayor en el tratamiento 1, con lo que se concluye que el factor de estrés en el cual se utilizó una concentración de 4,0 % de nitrógeno y una alta irradiancia es favorable para obtener una muy buena producción del pigmento.
El análisis estadístico realizado (ANOVA 95 %) para estos tratamientos evidenció que no existen diferencias significativas entre el tratamiento de nitrógeno al 5,0 y 4,0 % combinadas con la irradiancia alta (P = 0,053). Sin embargo, los niveles de astaxantina son 40 % mayores en la concentración obtenida en este estudio para el tratamiento con nitrógeno al 4,0 %, combinado con la irradiancia alta utilizada (140 μE), que para el tratamiento que contiene 5,0 % de nitrógeno.
Expresión de genes
Se observaron la expresión de genes pertenecientes a la cascada de producción de astaxantina. Estos genes se denominan fitoeno sintetasa (psy), β-caroteno Hidroxilasa (chy), fitoeno desaturasa (pds), licopeno β-ciclasa (lcy) y β-caroteno ketolasa (bkt), y son fundamentales para llevar a cabo el proceso de producción/o biosíntesis del carotenoide. La expresión del gen bkt se da gracias a que este se encuentra en mayores cantidades cuando en estado de célula verde flagelada y va disminuyendo a medida que esta se desarrolla, como afirman Huang, Chen y Sandmann (2005), cuando la expresión del gen aumenta su concentración debido a que la microalga se expone a factores de estrés y se detecta en concentraciones basales al completar la cascada de producción de astaxantina (figuras 9 y 10).


En cuanto al gen pds, se puede afirmar que se encuentra presente siempre que hay concentraciones de ARNm durante el periodo de acumulación de astaxantina, lo que refiere que es regulado según el nivel de ARNm disponible, como sostienen Grünewald, Eckert, Hirschberg y Hagen (2000), quienes afirman que este gen se encuentra en el cloroplasto y regula la producción de astaxantina, la cual, a su vez, es regulada por la disponibilidad de ARNm en el momento de la síntesis y acumulación del caroteno; por ende, en los resultados de la electroforesis y PCR para este gen, se observa que siempre estuvo presente durante la biosíntesis, con una mayor intensidad en el tratamiento con nitrógeno al 4,0 % (figura 9). Por otra parte, los factores de estrés ambientales aumentan las condiciones estacionales de los genes psy y chy, logrando la regulación diferencial de los niveles de ARNm de los genes de la biosíntesis de astaxantina, como expresan Steinbrenner y Linden (2001), quienes refieren que los ARNm de estos genes están regulados en respuesta a diferentes condiciones de estrés.
La expresión de psy y chy se evidenció en todos los muestreos 6 día 18, muestreo 8 día 24, muestreo 12 día 36 del tratamiento de nitrógeno al 4,0 %, en comparación con el tratamiento de nitrógeno al 5,0 %, donde se observa solo expresión de estos genes en los muestreos 8 (día 24) y 12 (día 36) (figuras 9-11). En cuanto al gen lcy, este se observó solo en el muestro 8 (24 día) del tratamiento con nitrógeno al 4,0 %, lo que se concluye que la disponibilidad de ARNm en ese momento del experimento no era la suficiente para expresión de la mayoría de los genes (psy, pds, lcy y chy).


La ausencia de expresión de genes de la ruta biosintética de la astaxantina para el control se debe a que este medio de cultivo RM no presentó ninguna condición de estrés en la deficiencia de nutrientes, ya que cuenta con los niveles adecuados de nitrógeno; hecho que no influye en la producción y acumulación de astaxantina. Referente a esta situación, en el muestreo 6 con nitrógeno al 5,0 % se evidenció una ausencia similar de los genes de la síntesis del carotenoide. Esto se debe a que la concentración de ARNm en este momento fue óptima para lograr una expresión de genes marcada, en comparación con el tratamiento con nitrógeno al 4,0 % (figuras 9 y 10).
Por último, se llega a la verificación de la presencia de los genes de la ruta biosintética obtenidos en la PCR mediante el proceso de secuenciación, donde la identidad varió entre 93 y 100 %, con 0 % de discrepancias, con lo cual se concluye que los genes involucrados en la ruta biosintética se expresan bajo el factor de estrés ensayado, caracterizado por la disminución en la concentración de nitrógeno: 4,0 y 5,0 %, logrando una mayor expresión de los genes psy, pds y chy en el tratamiento con nitrógeno al 4,0 % (figura 11).
Como se mencionó previamente, la concentración de astaxantina es 40 % mayor en el tratamiento con nitrógeno al 4,0 % con respecto al tratamiento con nitrógeno al 5,0 % combinado con la irradiancia alta. Así mismo, se logró una mayor expresión de los genes psy, pds, lcy bkt y chy en el tratamiento con nitrógeno al 4,0 %, mientras que con nitrógeno al 5,0 % solo se expresaron los genes psy, pds y chy.
DISCUSIÓN
El medio de cultivo RM utilizado contiene nitrato de sodio (NaNO3) en concentraciones que permiten un buen desarrollo celular. No obstante, al disminuir sus niveles, estimula una mayor acumulación del carotenoide, como señalan Orosa, Franqueira y Cid (2005), quienes indican que la disponibilidad de nitratos en el medio en concentraciones bajas (0,15 g/L) permite la acumulación de astaxantina y evita un cese en el proceso de división celular; como se pudo evidenciar en este trabajo de investigación.
Las concentraciones bajas de nitrógeno no afectaron el crecimiento celular ni la producción de la astaxantina, permitiendo afirmar que una concentración de nitrógeno de 4,0 % (12,0104 mg/L de NaNO3) provoca una mayor acumulación de astaxantina en comparación con la concentración de nitrógeno al 5,0 % (15,013 mg/L de NaNO3), según los criterios y las condiciones de estrés aplicadas en este experimento.
Las bajas concentraciones de nitrógeno ensayadas no fueron desfavorables para la microalga en cuanto a su desarrollo celular en el medio de cultivo RM. En contraste, se pudo mostrar que el porcentaje de nitrógeno al 4,0 % (12,010 mg/L de NaNO3) provocó mayor acumulación de astaxantina en comparación con la concentración de nitrógeno al 5,0 % (15,013 mg/L de NaNO3).
Los datos anteriores están sustentados en un registro fotográfico que permite observar los cambios morfológicos y la cuantificación de astaxantina y clorofila, evidenciando que en el tratamiento de nitrógeno al 4,0 % se inició a la producción de astaxantina en una cantidad considerable al día 15 del muestreo 5, mientras que en el tratamiento de nitrógeno al 5,0 % dicha producción se dio a partir del día 18 muestreo 6.
Las bajas concentraciones de nitrógeno no afectaron el crecimiento de H. pluvialis, puesto que al noveno día se estabilizó la curva de crecimiento debido a que la cantidad de nitrógeno disponible en el medio se pudo a haber agotado, logrando una transición al estadio de enquistamiento de la microalga; momento en el cual se inició de producción del metabolito secundario, manteniendo las mismas concentraciones de células hasta el día 36 muestreo 12 con respecto al control (concentraciones normales de nitrógeno). Por lo anterior, se concluyó que bajas concentraciones de nitrógeno no afectan el crecimiento celular hasta cuando este se agota en el medio. De esta manera empieza la biosíntesis de astaxantina por parte de H. pluvialis, ya que se ha reportado que la concentración de nitrógeno baja da como resultado una productividad de biomasa reducida. Como resultado, las células pueden alcanzar un cierto grado de crecimiento/producción de biomasa desde células vegetativas verdes a los quistes rojos, sintetizando una gran cantidad de astaxantina como parte de un mecanismo de defensa enzimática celular para hacer frente al estrés combinado, el cual es generado también por la irradiancia alta (Kurmen et al., 2013).
Una característica que se observa en la microalga H. pluvialis al inducir un factor de estrés con la deficiencia de nitrógeno es el enquistamiento de la célula, el cual ocurre al detectar ausencia o disminución de este nutriente en el medio y que resulta en un aceleramiento de la producción de astaxantina, favoreciendo un ligero color rojo en los quistes y un aumento en su tamaño celular (Kang, An, Park, & Sim, 2006; Luna, Menéndez, Álvarez, & Flores, 2009; Niño-Castillo et al., 2017) tal como se observó en este trabajo de investigación.
En el tratamiento de nitrógeno al 4,0 % se evidenció un enquistamiento de la microalga al día 15 (muestreo 5), observándose al microscopio una doble membrana, un ligero color rojo y un aumento de tamaño que se trata de un proceso de supervivencia de H. pluvialis al detectar una disminución de nutrientes en el medio. El mismo comportamiento se observó para el tratamiento de nitrógeno al 5,0 % al día 18 (muestro 6) y para el control al día 27 (muestro 9). Los resultados obtenidos concuerdan con que la baja concentración de nitrógeno es el mayor factor en estimular la síntesis y acumulación de astaxantina y sus acilesteres en H. pluvialis (Richmond, 2008).
La iluminación del cultivo de manera continua juega un papel importante en el crecimiento y la producción de astaxantina, como refieren Imamoglu et al. (2009) en su investigación, señalando que la iluminación continúa, en lugar de ciclos luz/oscuridad, podría ser una fuente adicional de estrés y ser utilizado para el proceso de acumulación de astaxantina. En este trabajo, el ciclo luz/oscuridad empleado fue de 20h: 4h, obteniendo una síntesis del carotenoide en cantidades favorables.
La intensidad lumínica utilizada en este proyecto fue de 140 μE que, en comparación con lo afirmado por Fábregas, Domínguez y Álvarez (1998), permite evidenciar que la intensidad de luz a la cual se puede logar estimular la producción de astaxantina es superior a 90 μE. Por ende, se deduce que a mayor intensidad de luz se genera un tipo de estrés y una buena síntesis del carotenoide, sumando como variable que a altas intensidades de luz es posible un mayor consumo de nitrógeno (40 μmol m-2 s-1). Lo anterior se vio reflejado en los resultados obtenidos en esta investigación, ya que al combinar las variables de luz alta y deficiencia de nitrógeno se logró una aceleración en la acumulación de astaxantina.
En respuesta a la alta intensidad de luz, la clorofila y otros pigmentos involucrados en la fotosíntesis disminuyen, mientras que los carotenoides secundarios (zeaxantina, β-caroteno, astaxantina) se incrementan, funcionando a modo de agentes fotoprotectores. Estos carotenoides a menudo se acumulan en estructuras especiales tales como plastoglóbulos de plástidos o cuerpos lipídicos citoplasmáticos, contribuyendo a prevenir el exceso de la energía lumínica del alcance de la maquinaria fotosintética (Richmond, 2008).
En estudios similares se ha observado que la deficiencia de nitrógeno combinada con un alto nivel de estrés lumínico es el método más efectivo para la inducción máxima de astaxantina (Boussiba & Vonshak, 1991; Fábregas et al., 2001; Torzillo, Göksan, Isik, & Gökpinar, 2005), lo cual se estableció en este estudio, en el cual se observó mayor concentración de astaxantina cuando se trabajó con nitrógeno al 4,0 % e irradiancia de 140 μE, confirmando que la productividad máxima de astaxantina es resultado de la combinación de estos dos parámetros. El principal objetivo del cultivo de Haematococcus es garantizar la productividad máxima de astaxantina, debido a que, como se ha mencionado, una luz óptima en un medio de cultivo con agotamiento de nitrógeno durante la etapa roja sería la mejor condición para lograr el contenido máximo de astaxantina celular, aunque con una productividad de biomasa algo reducida.
Los factores de estrés utilizados (aumento de la intensidad de luz y deficiencia de nitrógeno) logran una reducción de la piscina plastoquinona, la cual tiene un papel de sensor que, al disminuir, activa el potencial redox del sistema fotosintético para la activación transcripcional de genes carotenogénicos (Vidhyavathi et al., 2008).
CONCLUSIONES
El tratamiento realizado bajo los factores de estrés de deficiencia de nitrógeno al 4,0 % y una irradiancia alta de 140 μE, junto con las condiciones de CO2 al 5 %, medio de cultivo RM, pH 6,7, fotoperiodo ciclo luz/ oscuridad 20h: 4h, luz blanca y una temperatura de 25 °C, permitieron obtener una mayor concentración de astaxantina (3,52x10-6 ug/cel. x mL) y la expresión de los genes psy, pds, lcy bkt y chy, con respecto al tratamiento con nitrógeno al 5,0 %, en el cual solo se expresaron los genes psy, pds y chy y se obtuvo un 40 % menos de producción de astaxantina. Sin embargo, según el ANOVA (95 %) realizado, no se presentaron diferencias significativas (P = 0.053) entre tratamientos.
AGRADECIMIENTOS
Los autores agradecen a la Universidad Colegio Mayor de Cundinamarca, al grupo Bioprocesos y Control (GBYC), a la Universidad de La Sabana y al Grupo de procesos agroindustriales (GIPA).
Nomenclatura


Referencias
Abalde, J., Orosa-García, M., Torres, E., & Cid, A. (1999). La microalga Haematococcus como fuente de astaxantina. En Simposio Científico en Biología Celular y Molecular, La Coruña, España.
American Public Health Association [APHA] (1992). AWWA and WEF: Standard Methods for the Examination of Water and Wastewater (18th Ed.). Washington D. C.: American Public Health Association/American Water Works Association and Water Environment Federation.
Armenta, R. E., Guerrero-Legarreta, I., & Huerta, S. (2002). Extracción de caroproteinas a partir de residuos de camarón fermentados. Revista mexicana de ingeniería química, 1(1-2), 49-55.
Baranyi, J., & Roberts, T. A. (1994). A dynamic approach to predicting bacterial growth in food. International journal of food microbiology, 23(3-4), 277-294. https://doi.org/10.1016/0168-1605(94)90157-0
Boussiba, S., & Vonshak, A. (1991). Astaxanthin accumulation in the green alga Haematococcus pluvialis. Plant and cell Physiology, 32(7), 1077- 1082. https://doi.org/10.1093/oxfordjournals. pcp.a078171
Brinda, B. R., Sarada, R., Kamath, B. S., & Ravishankar, G. A. (2004). Accumulation of astaxanthin in flagellated cells of Haematococcus pluvialis–cultural and regulatory aspects. Current Science, 87(9), 1290- 1295. https://www.jstor.org/stable/24109449
Candelas-Cadillo, M. G., Alanís-Guzmán, M. G. J., Bautista-Justo, M., Del Río-Olague, F., & García- Díaz, C. (2005). Contenido de licopeno en jugo de tomate secado por aspersión. Revista Mexicana de Ingeniería Química, 4(3), 299-307.
Cerón, M. C. (2013). Producción de microalgas con aplicaciones nutricionales para humanos y animales. Cuadernos de estudios agroalimentarios, 87(5), 83-101.
Chavarro-Mesa, E. (2011). Variabilidad genética y detección molecular de poblaciones del hongo Rhizoctonia solani en regiones colombianas productoras de papa (tesis de maestría). Universidad Nacional de Colombia, Bogotá.
Cifuentes, A. S., Gonzalez, M. A., Vargas, S., Hoeneisen, M., & Gonzalez, N. (2003). Optimization of biomass, total carotenoids and astaxanthin production in Haematococcus pluvialis Flotow strain Steptoe (Nevada, USA) under laboratory conditions. Biological Research, 36(3-4), 343-357. http:// dx.doi.org/10.4067/S0716-97602003000300006
Córdoba-Castro, N. M., Acero-Reyes, N. L., Duque- Buitrago, L. F., Jiménez-Aguilar, L. J., Serna- Jiménez, J. A. (2015). Obtención y caracterización de astaxantina de la microalga Haematococcus Pluvialis. UG Ciencia, 21, 73-82. https://doi. org/10.18634/ugcj.21v.1i.426
Domínguez-Bocanegra, A. R., Legarreta, I. G., Jerónimo, F. M., & Campocosio, A. T. (2004). Influence of environmental and nutritional factors in the production of astaxanthin from Haematococcus pluvialis. Bioresource technology, 92(2), 209-214. https://doi.org/10.1016/j.biortech.2003.04.001
Fábregas, J., Domínguez, A., Álvarez, D. G., Lamela, T., & Otero, A. (1998). Induction of astaxanthin accumulation by nitrogen and magnesium deficiencies in Haematococcus pluvialis. Biotechnology Letters, 20(6), 623-626. https://doi.org/10.1023/A:1005322416796
Gong, X., & Chen, F. (1998). Influence of medium components on astaxanthin content and production of Haematococcus pluvialis. Process Biochemistry, 33(4), 385-391. https://doi.org/10.1016/S0032-9592(98)00003-X
González, M. A., Cifuentes, A. S., & Gómez, P. I. (2009). Crecimiento y contenido total de carotenoidesen cuatro cepas chilenas de Haematococcus pluvialis flotow, bajo condiciones de laboratorio. Gayana. Botánica, 66(1), 58-70. https://doi.org/10.4067/ S0717-66432009000100006
Grünewald, K., Eckert, M., Hirschberg, J., & Hagen, C. (2000). Phytoene desaturase is localized exclusively in the chloroplast and up-regulated at the MRNA level during accumulation of secondary carotenoids in Haematococcus pluvialis (Volvocales, Chlorophyceae). Plant Physiology, 122(4), 1261-1268. https://doi.org/10.1104/ pp.122.4.1261
Huang, J. C., Chen, F., & Sandmann, G. (2006). Stress-related differential expression of multiple β-carotene ketolase genes in the unicellular green alga Haematococcus pluvialis. Journal of biotechnology, 122(2), 176-185. https://doi. org/10.1016/j.jbiotec.2005.09.002
Imamoglu, E., Dalay, M. C., & Sukan, F. V. (2009). Influences of different stress media and high light intensities on accumulation of astaxanthin in the green alga Haematococcus pluvialis. New biotechnology, 26(3-4), 199-204. https://doi. org/10.1016/j.nbt.2009.08.007
Imamoglu, E., Vardar, F., Sukan, M., & Dalay, C. (2007). Effect of Different Culture Media and Light Intensities on Growth of Haematococcus pluvialis. International Journal of Natural and Engineering Sciences, 1(3), 5-9.
Kang, C. D., An, J. Y., Park, T. H., & Sim, S. J. (2006). Astaxanthin biosynthesis from simultaneous N and P uptake by the green alga Haematococcus pluvialis in primary-treated wastewater. Biochemical Engineering Journal, 31(3), 234-238. https://doi. org/10.1016/j.bej.2006.08.002
Kobayashi, M., Kakizono, T., & Nagai, S. (1993). Enhanced carotenoid biosynthesis by oxidative stress in acetate-induced cyst cells of a green unicellular alga, Haematococcus pluvialis. Applied and Environmental Microbiology, 59(3), 867-873. https://doi.org/10.1128/AEM.59.3.867-873.1993
Kurmen, J. E. C., González, G., & Klotz, B. (2013). Producción de Astaxantina en Haematococcus pluvialis bajo diferentes condiciones de estrés. Nova, 11(19), 93-104.
Luna, L. G., Menéndez, J., Álvarez, I., & Flores, I. (2009). Efecto de diferentes protocolos de aplicación de un campo magnético (0.03 T) sobre el crecimiento, viabilidad y composición pigmentaria de Haematococcus pluvialis Flotow en suficiencia y ausencia de nitrógeno. Biotecnología vegetal, 9(2), 105-117.
Martínez-Silva, A. S. (2011). Evaluación del crecimiento celular y de los pigmentos obtenidos de la microalga Haematococcus pluvialis (Chlorophyta: Volvocales) cultivada en diferentes medios (Disertación doctoral). Instituto Técnico Nacional, Ciudad de México, México.
Mendoza, N. M., Jaramillo, C. A., Guhl, F., Padilla, J. C., & Rentería, M. C. (2001). Diagnóstico de malaria por el método de la PCR anidada. Biomédica, 21(4), 320- 327. https://doi.org/10.7705/biomedica.v21i4.1124
Niño-Castillo, C. M., Rodríguez-Rivera, F. C., Díaz, L. E., & Lancheros-Díaz, A. G. (2017). Evaluation of Cell Growth Conditions for the Astaxanthin Production as of Haematococcus pluvialis Microalgae. Nova, 15(28), 19-31. https://doi.org/10.22490/24629448.2073
Nunes, M., Vieira, A. A. H., Pinto, E., Carneiro, R. L., & Monteiro, A. C. (2013). Carotenogenesis in Haematococcus pluvialis cells induced by light and nutrient stresses. Pesquisa Agropecuária Brasileira, 48(8), 825-832. https://doi.org/10.1590/S0100- 204X2013000800003
Orosa, M., Franqueira, D., Cid, A., & Abalde, J. (2005). Analysis and enhancement of astaxanthin accumulation in Haematococcus pluvialis. Bioresource Technology, 96(3), 373-378. https://doi.org/10.1016/j.biortech.2004.04.006
Ponce-Palafox, J. T., Arredondo-Figueroa, J. L., & Vernon-Carter, E. J. (2006). Carotenoids from plants used in diets for the culture of the pacific white shrimp (Litopenaeus vannamei). Revista Mexicana de Ingeniería Química, 5(2), 157-165.
Qiagen (2011). RT2 Easy First Strand Handbook, For cDNA synthesis. Qiagen
Ramírez-Landínez, D. M. (2013). Evaluación del crecimiento y producción de astaxantina por Haematococcus pluvialis en un fotobiorreactor tipo airlift (tesis de maestría). Universidad Nacional de Colombia, Bogotá.
Richmond, A. (Ed.). (2008). Handbook of microalgal culture: biotechnology and applied phycology. John Wiley & Sons.
Sarada, R., Tripathi, U., & Ravishankar, G. A. (2002). Influence of stress on astaxanthin production in Haematococcus pluvialis grown under different culture conditions. Process Biochemistry, 37(6), 623-627. https://doi.org/10.1016/S0032-9592(01)00246-1
Scibilia, L., Girolomoni, L., Berteotti, S., Alboresi, A., & Ballottari, M. (2015). Photosynthetic response to nitrogen starvation and high light in Haematococcus pluvialis. Algal Research, 12, 170- 181. https://doi.org/10.1016/j.algal.2015.08.024
Steinbrenner, J., & Linden, H. (2001). Regulation of two carotenoid biosynthesis genes coding for phytoene synthase and carotenoid hydroxylase during stress-induced astaxanthin formation in the green alga Haematococcus pluvialis. Plant physiology, 125(2), 810-817. https://doi.org/10.1104/pp.125.2.810
Steinbrenner, J., & Sandmann, G. (2006). Transformation of the green alga Haematococcus pluvialis with a phytoene desaturase for accelerated astaxanthin biosynthesis. Applied and environmental microbiology, 72(12), 7477-7484. https://doi.org/10.1128/AEM.01461-06
Torzillo, G., Göksan, T., Isik, O., & Gökpinar, Ş. (2005). Photon irradiance required to support optimal growth and interrelations between irradiance and pigment composition in the green alga Haematococcus pluvialis. European Journal of Phycology, 40(2), 233-240. https://doi.org/10.1080/09670260500123609
Vidhyavathi, R., Venkatachalam, L., Sarada, R., & Ravishankar, G. A. (2008). Regulation of carotenoid biosynthetic genes expression and carotenoid accumulation in the green alga Haematococcus pluvialis under nutrient stress conditions. Journal of Experimental Botany, 59(6), 1409-1418. https://academic.oup.com/jxb/article-abstract/59/6/1409/485379. https:// doi.org/10.1093/jxb/ern048
Vidhyavathi, R., Sarada, R., & Ravishankar, G. A. (2009). Expression of carotenogenic genes and carotenoid production in Haematococcus pluvialis under the influence of carotenoid and fatty acid synthesis inhibitors. Enzyme and Microbial Technology, 45(2), 88-93. https://doi.org/10.1016/j.enzmictec.2009.05.005
Wan, M., Zhang, J., Hou, D., Fan, J., Li, Y., Huang, J., & Wang, J. (2014). The effect of temperature on cell growth and astaxanthin accumulation of Haematococcus pluvialis during a light-dark cyclic cultivation. Bioresource technology, 167, 276-283. https://doi.org/10.1016/j.biortech.2014.06.030
Wang, J., Sommerfeld, M. R., Lu, C., & Hu, Q. (2013). Combined effect of initial biomass density and nitrogen concentration on growth and astaxanthin production of Haematococcus pluvialis (Chlorophyta) in outdoor cultivation. Algae, 28(2), 193-202. https://doi.org/10.4490/ algae.2013.28.2.193

