

Contabilidad bajo la perspectiva de dispositivos electrónicos en contribuyentes de microempresas de Jipijapa Manabí
Accounting under the perspective of electronic devices in micro-enterprise contributions of jipijapa Manabí
Avances
Instituto de Información Científica y Tecnológica, Cuba
ISSN: 1562-3297
ISSN-e: 1562-3297
Periodicidad: Trimestral
vol. 22, núm. 2, 2020
Recepción: 23 Enero 2019
Aprobación: 19 Marzo 2020
Resumen: A nivel mundial las nuevas tecnologías se desarrollan de manera vertiginosa y con constantes cambios, la contabilidad no puede estar ajena a estas realidades donde diversas transacciones son favorecidas con el uso del internet en tiempo real. Además, existe un mercado sin fronteras por medio del cual se intercambian bienes y servicios hacia y desde cualquier lugar del planeta. Con relación al avance tecnológico, este ha provocado una transformación considerable en la información contable permitiendo almacenar y recuperar datos sin importar distancias, tiempo y volumen. Por lo tanto, la adaptación a un ambiente cambiante y complejo, el manejo masivo de información y el avance de la tecnología, han provocado una necesidad en el uso de dispositivos electrónicos en las microempresas, que permita contribuir a la generación de un nuevo paradigma micro empresarial. En otro orden de ideas, se debe precisar que ésta investigación tuvo contexto en la parte urbana del cantón Jipijapa-Manabí-Ecuador, en conexión con propietarios de microempresas que percibían la importancia de utilizar dispositivos electrónicos como herramienta contable para sus negocios. La propuesta nace del diagnóstico sistemático a partir de una investigación exploratoria, deductiva, descriptiva con el objetivo de precisar elementos que connotan el paradigma en la contabilidad de los contribuyentes formales con el empleo de dispositivos electrónicos. Se eligió microempresas cuyas actividades productivas residieran al mercado local, se pudo categorizar aquellas cuyos activos utilizados pertenecen a sus propietarios. Los métodos adoptados fueron análisis documental utilizado para la valoración de bibliografía relacionada con el problema; histórico lógico para establecer fundamentos asociados a procesos contables con el uso de tecnologías; análisis y síntesis que proporcionó información con base más ajustada para abordar el problema científico; inductivo-deductivo que accedió al análisis de antecedentes particulares de los problemas existentes. Los resultados permitieron identificar efectos financieros y no financieros en la utilización de tecnología en los negocios de microempresarios. Además, se logró determinar a contribuyentes que utilizan dispositivos electrónicos y no lo estén aprovechando en su totalidad, por lo qué, es evidente la necesidad de proponer y capacitar con temas de comercio electrónico como nuevo paradigma en la contabilidad de las microempresas de Jipijapa y así contribuir de mejor manera al desarrollo local de este cantón.
Palabras clave: contabilidad, contribuyentes, dispositivos electrónicos, microempresas, tecnología de información y comunicación.
Abstract: Globally, new technologies are developed in a vertiginous way and with constant changes, accounting cannot be alien to these realities where various transactions are favored with the use of the internet in real time. In addition, there is a borderless market through which goods and services are exchanged to and from anywhere on the planet. In relation to technological progress, this has led to a considerable transformation in accounting information allowing data to be stored and retrieved regardless of distances, time and volume. Therefore, the adaptation to a changing and complex environment, the massive management of information and the advancement of technology, have caused a need in the use of electronic devices in microenterprises, which will contribute to the generation of a new micro paradigm business. In another order of ideas, it should be noted that this research had context in the urban part of the Jipijapa-Manabí-Ecuador canton, in connection with microenterprise owners who perceived the importance of using electronic devices as an accounting tool for their businesses. The proposal stems from the systematic diagnosis from an exploratory, deductive, descriptive investigation with the objective of specifying elements that connote the paradigm in the accounting of formal contributor with the use of electronic devices. Micro-enterprises whose productive activities resided in the local market were chosen, those whose assets used belong to their owners could be categorized. The methods adopted were documentary analysis used to evaluate the literature related to the problem; logical history to establish fundamentals associated with accounting processes with the use of technologies; analysis and synthesis that provided more adjusted information to address the scientific problem; inductive-deductive that agreed to the analysis of particular antecedents of the existing problems. The results allowed the identification of financial and non-financial effects on the use of technology in microenterprise businesses. In addition, it was possible to determine contributor who use electronic devices and are not taking full advantage of it, therefore, it is evident the need to propose and train with e-commerce issues as a new paradigm in Jipijapa microenterprise accounting and thus contribute better to the local development of this canton.
Keywords: accounting, contributor, electronic devices, microenterprises, information and communication technology.
INTRODUCCIÓN
Las microempresas, gozan de exclusiva importancia en la economía nacional ecuatoriana. Se puede apreciar cómo estas contribuyen a la producción, distribución de bienes y servicios, adaptación a cambios tecnológicos, generación de empleos. Este tipo de negocios en Ecuador permiten dinamizar la economía local. En este sentido, se observa como las transacciones de personas ayudadas con el internet se están realizando en tiempo real, donde existe un mercado sin fronteras por medio del cual se intercambian bienes y servicios hacia y desde cualquier lugar del planeta. Es así que, los contribuyentes de negocios formales deben de prescindir de muchas prácticas realizadas en sus negocios de manera tradicional.
Los aportes de Buritica (2001), evidencian que los medios habituales de realizar transacciones deben ser revaluados con el propósito de adaptabilidad por parte de los contribuyentes enfocado a nuevas necesidades para engrandecer sus negocios. En este sentido, Chaves (2013), expresa que en Costa Rica el Ministerio de Economía, Industria y Comercio (MEIC) promovió el decreto 35867-MEIC, donde se establecía el reglamento de tarjetas de crédito y débito. Esta norma tuvo el propósito de proteger derechos de consumidores y usuarios ante posibles creaciones de monopolios. También, se debe de considerar que este reglamento surgió por el uso que se estaba dando a las tarjetas de crédito y débito, constituidas como medio de pago suplente del efectivo, esto permitió que los agentes de mercado participantes garanticen mayor transparencia en sus negocios.
Los aportes de Durán (2015), expresan que existe una creciente importancia respecto a la información contable de contribuyentes formales, esta puede ser entendida como consecuencia de tres factores. En primer lugar, los negocios deben de adaptarse a un entorno cada vez más cambiante y complejo. Como segundo factor, se debe considerar el aumento del componente informativo en todas las actividades económicas y sociales. El tercer factor, es el potencial de los dispositivos electrónicos en la mejora de la eficacia y eficiencia del tratamiento de la información contable, esto provoca un nuevo giro en el orden social y económico, que se denomina sociedad de la información.
Participaciones de la Comisión Económica para América Latina y el Caribe (CEPAL, 2015), prevén que en los próximos años se originará una aceleración de las innovaciones tecnológicas, promovida por avances convergentes que influirán en la fabricación de dispositivos electrónicos, estas mejoras arriban a nuevos campos del conocimiento contable para los negocios formales.
De lo antedicho, se aprecia la existencia de múltiples dispositivos electrónicos que son utilizados como herramienta en negocios de contribuyentes formales, como el teléfono, el computador. No obstante, los más representativos de la sociedad actual son los ordenadores que permiten utilizar diferentes programas informáticos, redes de comunicación y comercio electrónico (Durán, 2015, p.6).
Desde la perspectiva más general de las microempresas Baque et al. (2018), expresan que este tipo de negocio en Ecuador realizan distintas actividades económicas. Cabe resaltar las que más inciden, las cuales son: comercio al por mayor y al por menor; agricultura, silvicultura y pesca, industrias manufactureras, construcción, transporte, almacenamiento, y comunicaciones. Dentro de este orden de ideas Rubio, Parra y Cática (2018), manifiestan que las microempresas son aquellas unidades de negocios que contribuyen a satisfacer necesidades particulares y a la vez al crecimiento económico de un determinado territorio.
En este contexto, es necesario acoger los aportes de Peña, Baque y Fernández (2018), quienes exponen que las microempresas necesitan invertir en tecnología que fomente la información y comunicación en distintas áreas de la organización directamente relacionadas con la ganancia o pérdida de cuota de mercado como la producción, la gestión comercial o la innovación, lo que tendrá su reflejo en los resultados y en la productividad obtenida.
Respecto a Ecuador, el mercado financiero está dado por las familias quienes confían sus dineros al sistema bancario público y privado. El flujo de recursos de las unidades económicas hacia estas instituciones financieras se ve compensado con el reconocimiento una inapreciable tasa de interés pasiva. Es preciso destacar que en este país la evolución constante en el sistema comercial dio origen a las primeras tarjeta de crédito a fínales del año setenta que en gran medida contractual se experimentaba en el bum petrolero, así aparecieron los primeros dispositivos electrónicos dedicados en primera instancia al sistema bancario privado (Martillo, 2016, p. 22).
Es importante apreciar los aportes de Drucker (2000), quien determina que “a las organizaciones les falta percepción y conocimiento al innovar”. Es preciso considerar que esta es una realidad existente en el sector estudiado, razón que impulsa a realizar una evaluación de acciones innovadoras desde un enfoque de dispositivos electrónicos para poder contribuir a implementar tecnología que permita dinamizar de mejor manera la economía en este sector del canton Jipijapa.
Globalización y los dispositivos electrónicos.
Los dispositivos electrónicos comprendidos en las tecnologías de información y comunicación (TIC), comprenden tres elementos fundamentales para una competente actividad: infraestructura, capital humano y la web como tal. Es decir, todo el proceso electrónico que hace posible la recepción de la información como señales que son transformadas a impulsos eléctricos para finalmente ser convertidas en señales físicamente útiles para los negocios (Pino, 2011).
Se debe destacar el uso de dispositivos en negocios electrónicos, porque facilita la interconexión entre actividades y tramas sociales, esto antes representaba pérdida de tiempo y dinero por los procesos largos de integración, debido a que no existían los avances tecnológicos de hoy. Además, hoy en día existen dispositivos tecnológicos aplicables a cualquier situación para hacer más eficiente cada uno de los procesos que involucra el manejo de los negocios formales.
Según los aportes de la Comisión Económica para América Latina y el Caribe (CEPAL, 2015), el cambio tecnológico y la creciente velocidad de nuevos conocimientos aplicados a la producción con el uso de dispositivos electrónicos en los negocios está acortando el ciclo de desarrollo de productos y estrategias empresariales. En este sentido, la CEPAL estipula que esta cohesión tecnológica será más vertiginosa que la adquirida por la convergencia digital en los últimos 25 años.
Para la CEPAL (2015), los dispositivos electrónicos enmarcados en tecnologías de: TIC; automatización y fabricación avanzada; energía y recursos naturales y salud. Son los que tendrán influencia destacada en la economía y la sociedad mundiales hacia 2030. En este sentido, afirma que las empresas de China y Asia ya cuentan con las competencias necesarias para dominar en los nuevos mercados asociados a estos dispositivos.
Microempresas y su problemática.
Según Palomo (2005), las características que tienen las microempresas desde la literatura es que: estas no crecen por que sus dueños no se capacitan, además, no existe cultura organizacional, algunos dueños afirman ser autosuficientes, mientras otros tienen miedo a crecer. En este sentido, diferentes investigaciones permiten identificar problemas existentes en este tipo de actividades comerciales. Estas combinan enfoques con una mirada desde lo externo (economía, política, tecnología) y de lo interno (mercadeo, producción, personal).
La primera posición caracteriza esta problemática desde lo macroeconómico, aquí las microempresas y sus dueños no influyen en su solución. El enfoque interno en cambio responde a problemas derivados de la propia gestión y del sector económico donde se desenvuelve el negocio, aquí la responsabilidad de mejora y solución recae de manera directa en la microempresa (Zapata, 2004, p. 3).
En las generalizaciones anteriores se debe precisar que las microempresas requieren del apoyo de la tecnología ofertada por responsables locales, quienes trabajen en la apertura de nuevos mercados lo cual obliga a que estos negocios cuenten con recursos técnicos, humanos y financieros apropiados que desafortunadamente hoy en día no están al alcance de todas (Trujillo, Gamba & Arenas, 2016, p.3).
Dispositivos electrónicos en Ecuador.
Los estudios de Humanante-Ramos et al. (2015), determinan que en Ecuador se impulsa la incorporación de las TIC en los diferentes niveles de su matriz productiva, por medio de políticas y estrategias establecidas en sus Planes Nacionales. No obstante, la contabilidad no es bien favorecida en la articulación de sus bondades con dispositivos electrónicos, donde se permitan poseer redes que faciliten la articulación de las fortalezas que la contabilidad y que contribuya a través de la tecnología al crecimiento de las microempresas de un sector determinado.
Los aportes de Luque y Herrero ( 2019), determina que el empleo de tecnología como lo son los dispositivos móviles con acceso a internet, ha generado un estado disruptivo ocasionando una completa revolución en las dinámicas sociales donde las microempresas no han sido ajenas a este fenómeno, las mismas que demandan empleados con perfiles acordes a las exigencias tecnológicas.
Las investigaciones futuras deben ser constantes sobre el empleo de las TIC en los procesos contables que sucedan en las microempresas o pequeños negocios, sean éstos de educación, comercialización, uso de redes, finanzas o dinero electrónico, para asegurar una correcta inserción de los propietarios en un mundo más competitivo.
De lo antedicho, se considera que el escaso conocimiento de los propietarios de negocios respecto al buen uso de las Tecnologías de Información y Comunicación trae como consecuencias principales la exclusión laboral, negocios poco competitivos. En este sentido, se debe precisar que el éxito de las actividades comerciales, está en el uso de dispositivos electrónicos que las tecnologías informáticas ofrecen permitiendo obtener calidad de servicio y tiempos de respuestas eficientes en las transacciones.
Se debe precisar que en Ecuador el consumo digital demuestra cambios sustanciales en la utilización de dispositivos electrónicos digitales y redes sociales, como en el comportamiento de la sociedad ecuatoriana, de diferentes edades, al consumir estos medios. Además, un usuario promedio tiene varios momentos en el uso de dispositivos durante el día. La Figura 1 demuestra los usos más recurrentes del internet por área.

De lo que antecede, se considera que hoy la conectividad ecuatoriana funciona con dispositivos electrónicos en relación al esquema “siempre disponible” de los consumidores. Es decir, todos los usuarios se conectan de manera continua desde cualquier móvil para tener información en tiempo real, a cualquier hora del día y desde cualquier lugar. No obstante, el uso minoritario de internet es por razones de trabajo, esto ofrece oportunidades hacia la creación de estrategias asertivas que permitan crear servicios de valor que acompañen a las ventas de productos de las microempresas.
Según Martínez (2019), muchas empresas ecuatorianas ofrecen servicios de contabilidad por medio de las aplicaciones móviles con los datos almacenados en la nube, pero no todos los profesionales de la contabilidad se sienten seguros, por lo que se considera necesario ampliar la cultura tecnológica.
Por todo lo anterior, se trazó como objetivo analizar el nuevo paradigma de la contabilidad en contribuyentes formales con el empleo de dispositivos electrónicos, basado en la evidencia empírica de los negocios ubicados en el centro urbano del cantón Jipijapa, Manabí con el fin de mejorar su permanencia en el mercado.
MATERIALES Y MÉTODOS
La presente investigación fue transversal, esto debido a que se proyectó a evaluar el grado de tecnología como un aspecto de desarrollo de los sujetos en un momento dado. Además, fue exploratoria – descriptiva, debido a que tuvo carácter temporal, se trabajó en conocer el entorno de la contabilidad y sus usos con o sin dispositivos electrónicos mediante la investigación de campo, con esto se realizó un levantamiento de información de microempresas que accedió a conocer el grado de tecnología utilizada.
Luego de una revisión bibliográfica sobre las fundamentaciones de variables a través de diferentes autores, se consideró que el presente trabajo investigativo se realizara bajo el enfoque cuali-cuantitativo, de tipo exploratorio y descriptivo; se utilizó como métodos y técnicas que coadyuvaron a la escritura de este artículo la sistematización y otros métodos teóricos tales como el inductivo-deductivo, el análisis y la síntesis de la literatura referida al tema, todos los cuales contribuyeron a delinear las bases para analizar paradigma de la contabilidad en contribuyentes formales ubicados en el centro urbano del cantón Jipijapa, Manabí que emplean dispositivos electrónicos basado en la evidencia empírica de los negocios.
Para profundizar en el diagnóstico del problema planteado fueron utilizadas fuentes de información primarias, con la aplicación de encuestas dirigidas a distintos actores dueños de estos negocios. Estas tuvieron el propósito de analizar las manifestaciones en la utilización dispositivos electrónicos para la aplicación de la contabilidad.
Las encuestas aplicadas como instrumento de medición para analizar las manifestaciones en la utilización dispositivos electrónicos para la aplicación de la contabilidad, se basaron en la metodología propuesta por Mejía y Cornejo (2010); donde cada pregunta fue medida a través de una escala entera de tipo Likert de cinco puntos. Luego se aplicó a un grupo piloto para obtener las puntuaciones del grupo de cada ítem; las puntuaciones obtenidas se correlacionaron con las del grupo en toda la escala para integrarlas significativamente (Hernández, 2008).
La confiabilidad del instrumento se obtuvo a través de la prueba Alfa de Cronbach, donde la puntuación alcanzada fue de 0.9074, lo que significa que el instrumento de medición tuvo una correlación significativa y la validez fue adecuada para el objetivo del estudio. Obtenida la confiabilidad y validez del instrumento se realizó un análisis de frecuencia y pruebas no paramétricas (Chi-cuadrado, Kolmogorov-Smirnov), además del Coeficiente de Correlación de Spearman para analizar las manifestaciones en la utilización dispositivos electrónicos en la aplicación de la contabilidad, análisis realizado a través del software Statistical Package For Social Sciences (SPSS) versión 22.0 en español, el cual permitió procesar con carácter estadístico los resultados de las técnicas utilizadas.
Es importante acotar que se seleccionó al cantón Jipijapa, parroquia San Lorenzo de Jipijapa, por el alto grado de crecimiento en microempresas que presenta anualmente, por todo el potencial comercial que exhibe. Además, de los numerosos locales arrendados vinculados al tema de investigación.
En este contexto, se debe precisar que estos negocios registrados en la provincia de Manabí de acuerdo al Sistema de Rentas Internas (SRI, 2018), son de 453. 441 en total. Se debe hacer notar que, en la parroquia estudiada existen 9.131 contribuyentes registrados.
Para determinar la muestra de las encuestas a realizar a las pequeñas y medianas empresas, se utilizaron criterios de Proaño y Ramírez (2017), quienes estipulan que una muestra se debe reducir por criterios y correlación para que estas sean afines al objeto de estudio. En este sentido, se procedió a delimitar a través de indicadores establecidos por el SRI, tales como: estado del contribuyente activo, tipo de empresa, estado de establecimiento declarado abierto ante SRI, estado de contribuyente activo, clase de contribuyente (otros y especial), obligado a llevar contabilidad, parroquia.
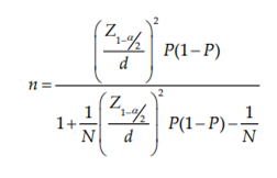
Los criterios expuestos permitieron tener una población de 132 negocios formales en el cantón Jipijapa. Respecto al tamaño de la muestra los mismos autores expresan que se debe emplear actores afines a una actividad, donde se usa el muestreo irrestricto aleatorio, con una confiabilidad de 95 %, una proporción de 0.50 (que permite el mayor tamaño de muestra) y un error de muestreo de 0,05. Para datos cualitativos, se hizo una selección de muestra necesaria de 99 negocios pertenecientes al centro urbano de la parroquia San Lorenzo de Jipijapa, Manabí, esto de acuerdo con los procedimientos de cálculos utilizados por los autores citados, según la ecuación 1.

Dónde: P: es la proporción de individuos (la n máxima se obtiene cuando p = 0,5) 1-α: confiabilidad d: error absoluto Con una confiabilidad de 0.95 Z1- α/2 = 1,96 un error absoluto de 0.05 con p=0.5 y N =132 con un tamaño de muestra necesario de 99 negocios según la base de datos del SRI.
RESULTADOS Y DISCUSIÓN
Después de la aplicación de las encuestas se realizó un análisis de frecuencia y pruebas no paramétricas (Chi-cuadrado, Kolmogorov-Smirnov), además del Coeficiente de Correlación de Spearman, para analizar las manifestaciones en la utilización dispositivos electrónicos en la aplicación de la contabilidad en los contribuyentes de microempresas de Jipijapa Manabí. Los resultados obtenidos en función de los propietarios de negocios en la parroquia San Lorenzo de Jipijapa, mostraron que existen potencialidades para desarrollar actividades de comercio debido a la cultura existente en el sector.
Se constató que en la provincia existen diferentes negocios con particularidades de comercio distintas, con existencia de 9.131 negocios en este territorio, de estos el 38 % tienen su establecimiento en estado activo, igual se encuentran como contribuyente. Con relación la actividad económica ejercida por los negocios en este cantón, se observó que la alternativa del comercio informal es la que prevalece con un 55.3 %, seguido actividades de servicio con un 27.9 % y después se encuentra las actividades enfocadas a la agricultura con un 16.8 %.
La utilización de sistemas contables asistidos por computadora en este sector de la población no es un referente debido a que los resultados brindaron información de un 70 % que si utiliza inventarios y un 30 % no los usa. En este contexto, se debe precisar que aun cuando la mayoría de negocios si registra sus productos, los realiza en sistemas con profesionales externos ajenos a su microempresa y ajustados a actualizaciones semestrales. Esto permite debilitar la toma de decisiones y no tener información en tiempo real debido a la dependencia, incidiendo en los tiempos de respuesta en procesos de compra de nuevos productos.
Respecto a la demanda enfocada a la capacitación que contribuya a fortalecer sus negocios, el 39.1 % expone que deben ser relacionadas con la contabilidad, un 27.4 % enfocan este recurso hacia el marketing, el 14 % a servicios al cliente y otro 14 % a las finanzas, dejando el fortalecimiento institucional con solo el 5.6 %. Al observar estos resultados, es evidente la insuficiencia existente en este tema para los propietarios y sus empleados, los cuales reconocen debilidades en el manejo de herramientas financieras que con un buen uso de dispositivos electrónicos facilitaría esta necesidad.
Cuándo se consultó respecto a la necesidad de implementar un sistema contable que ayude como herramienta financiera, los propietarios mostraron complejidad en su reconocimiento con un 80.9 % respecto a la importancia de un dispositivo electrónico que contribuya a la presentación de estados financieros. Esto demostró que cuesta concretar propuestas asociadas a esta actividad, aun cuando solo el 19.1 % opinan que no es importante exhibir estos documentos en dispositivos electrónicos.
Las microempresas del cantón Jipijapa precisan de regularidades entre las cuales esta que en su mayoría nacen y se mantienen como emprendimientos de producción familiar; los empleados cuando los tienen son miembros directos de la familia hasta un tercer grado de consanguinidad; poseen poco conocimiento de las bondades de la contabilidad para con sus negocios. Por otro lado, al manejar registros contables de manera directa ni llevar en tiempo real los datos de proveedores, el control de estos solo lo tiene un miembro de la microempresa el cual se vuelve indispensable en la relación negocio proveedor, esto dificulta y retrasa tiempos en los procesos de desarrollo del negocio.
Además, en su mayoría no tienen un control y rotación de inventarios que permita una ágil toma de decisiones y proyección en la banca para préstamos de crecimiento. Sumado a esto, se observó incompatibilidad en documentos oficiales como el SRI, donde los reportes mostrados en las páginas oficiales de estos organismos son diferentes a las pocas encontradas en los negocios.
La diversidad de fuentes de información de microempresas estudiadas resulta significativa. En términos generales, la mayoría de los dueños de negocios manifestó estar informado sobre las ventajas que tienen la aplicación y uso de tecnologías como herramientas financieras las cuales contribuyen a una mejor toma de decisiones, esta información la adquieren de diversas maneras, ya sea mediante el diálogo con sus clientes y proveedores.
En este contexto Rosales et al. (2017), establecen que la toma de decisiones tiene el propósito de elegir la mejor alternativa para la solución de problemas en un negocio. En este sentido, se considera que estas deben contar con sistemas contables asistido con dispositivo electrónico, que permitan, en primera instancia mantenerse en el mercado, y posteriormente, buscar ampliar su cobertura, tanto a nivel local como nacional y por qué no internacional.
Con relación a los registros como inventarios utilizados por los negocios ubicados en el sector urbano del cantón Jipijapa, estos son manejados de una manera muy limitada lo suficiente para responder a requerimientos elementales de sus propietarios. No obstante, se considera que, al realizar los procesos contables de manera articulada con la tecnología, esto contribuiría a una mejora toma de decisiones, así como a la reducción de tiempo en procesos.
Bajo este orden de ideas, se comprueba que los propietarios de las microempresas de esta parroquia urbana consideran en teoría una buena opción a las herramientas financieras asistidas por dispositivos electrónicos. Sin embargo, se observa como en la práctica diaria lo realizan de manera empírica, siendo necesario implementar un control adecuado que permita obtener información real de la situación actual de la empresa.
La investigación realizada en este sector de la provincia de Manabí, permite apreciar oportunidades hacia este tipo de negocios, los mismos que día a día se incrementan debido a la demanda creciente de los productos que expenden. Se puede observar como estos negocios tienen un crecimiento considerable que permiten dinamizar la economía del cantón y contribuir al desarrollo del mismo.
Respecto al análisis interno encontrado, se considera que las herramientas financieras asistidas por dispositivos electrónicos deben ser efectivas y articuladas a procesos de gestión administrativo de la misma índole. En otro orden de ideas, se observó que los propietarios gozaban de una considerable experiencia en sus negocios. No obstante, no se advierte la debilidad encontrada cuando se genera expectativas de crecimiento pues poseen paradigmas de límites para una expansión empresarial.
Además, al no tener procesos contables que sean asistidos sistemas y tecnología, los propietarios no observan realidades para proyectarse a sus futuras generaciones. En este contexto, se considera que todas estas debilidades se pueden trabajar para convertirlas en futuras fortalezas que permitan implementar una herramienta de sistema contable que acceda robustecer la toma de decisiones y con esto mantenerse en el mercado y tener mayores ingresos en sus negocios.
Se recomienda aplicar estrategias para ser más competitivos. En este contexto, la inversión en innovación es necesaria a través de la cual estos negocios tendrán nuevos enfoques en sus procesos contables diarios lo cual conllevará a elevar su capacidad ya ganada y con esto evitar ser sensibles a los cambios de la tecnología venideros.
La universidad debe fortalecer los escenarios permanentes ya creados y con estos realizar alianzas estratégicas con otras entidades públicas y privadas que permita crear mecanismos conducidos por la Universidad, en función del aprovechamiento de los recursos endógenos y exógenos y la articulación de actores locales.
Sería importante desarrollar una aplicación destinada a teléfonos del tipo smartphone para que las microempresas del cantón Jipijapa puedan hacer sus procesos administrativos y contables de forma más ágil y a bajo costo, con nuevas tecnologías y almacenamiento de datos en la nube que permita acceder a la información del negocio desde cualquier lugar, de tal manera que se pueden hacer seguimiento en tiempo real a los procesos que se dan en la microempresa.
CONCLUSIONES
La contabilidad debe cambiar a un nuevo paradigma enfocado hacia las nuevas tecnologías, con el empleo de dispositivos electrónicos que permitan satisfacer las necesidades de las microempresas donde los profesionales de contabilidad puedan contribuir en modificar operar, vigilar y evaluar los procesos de este tipo de negocios y así poder enfrentar los cambios que afecten la relación beneficio-costo del negocio en un mundo globalizado.
Los entornos económicos actuales de las microempresas de Jipijapa inducen a estos negocios a enfrentar desafíos diarios. En este sentido, se deben implementar dispositivos electrónicos que permitan afrontar estos retos muy en especial en el área contable, variable de estudio de esta investigación.
A partir de los fundamentos teóricos y metodológicos resultado de la investigación, se detectaron brechas relacionadas con la contribución que puede aportar los dispositivos electrónicos articulados a la contabilidad. Esto favorece a la creación de una herramienta dirigida a los emprendedores de microempresas que no cuentan con el tiempo, la destreza y los conocimientos en procesos y normas contables existentes en el país.
REFERENCIAS BIBLIOGRÁFICAS
Baque Cantos, M., Baque Sánchez, E., Chiquito, G., & Baque Parrales, S. (2018). Microempresas en el Ecuador: Caso ciudad de Manta. Dominio de las Ciencias, 4(1), 619-632. Recuperado de https://www.dominiodelasciencias.com/ojs/index.php/es/article/view/771/pdf
Buritica, O. A. (2001). Implicaciones del comercio electrónico en la tributación. Pontifica Universidad Javeriana. Bogotá: PUJ.
Chaves, L. (2013). Regulación de tarjetas de crédito en Costa Rica. Revista Ciencias Sociales (139), 151-160. Recuperado de https://revistas.ucr.ac.cr/index.php/sociales/article/view/11361/10715
Comisión Económica para América Latina y el Caribe (CEPAL). (2015). Globalización, integración y comercio inclusivo en América Latina. CEPAL. Santiago de Chile: Copyright © Naciones Unidas. ISBN: 978-92-1-057226-2.
Drucker, P. (2000). La productividad del trabajador del conocimiento: máximo. Hardvard Deusto Business Review, X(98), 4-17.
Durán, Y. C. (2015). Contabilidad bajo el enfoque de Tecnologías de la Información y Comunicación (TIC`s). Estudio basado en la Pyme del sector salud privado, municipio Valera estado Trujillo Venezuela. Visión General, 14(1), 53-88. Recuperado de erevistas.saber.ula.ve/index.php/visiongerencial/article/view/6776/6604
Hernández, R. (2008). Metodología de la investigación. Edtion ed. La Habana, 04/06/2012.
Humanante-Ramos, P., García-Peñalvo, F., Conde-González, M., & Velasco-Silva, D. (2015). Diagnóstico del uso de los dispositivos electrónicos y de las herramientas web 2.0 desde un enfoque PLE, en un grupo de estudiantes de ingeniería. III Congreso Internacional sobre Aprendizaje, Innovación y Competitividad (CINAIC 2015).
Luque, A., & Herrero, N. (2019). Impacto de la tecnología en la sociedad: el caso de Ecuador. Universidad y Sociedad, 11(5), 176-182. Recuperado de https://rus.ucf.edu.cu/index.php/rus/article/view/1358/1387
Martillo, L. E. (2016). Análisis económico de la tarjeta de crédito Pacificard del Banco del Pacífico y su incidencia sobre el nivel de sobreendeudamiento crediticio de la clase media ecutoriana, durante el periodo 2010-2014. Universidad de Guayaquil. Guayaquil: UG.
Martínez, O. (2019). Las aplicaciones móviles en los profesionales de la contaduría: un estudio al uso en la contabilidad. Ecuador: Universidad Técnica de Ambato.
Mejía Puente, M., & Cornejo Sánchez, S. (2010). Aplicación del modelo de ecuaciones estructurales a la gestión del conocimiento. Latin American and Caribbean Journal of Engenering Education, 4(1), 23-30.
Palomo, M. (2005). Los procesos de Gestión y las problématicas de las PYMES. Ingenierías, VIII(28), 25-35.
Peña, D., Baque, M., & Fernández, R. (2018). Gestión de la innovación en microempresas familiares del sector. Avances, 20(2), 226-241. Recuperado de http://www.ciget.pinar.cu/ojs/index.php/publicaciones/article/view/352/1267
Pino, P. (2011). Las tecnologías de hoy en un mundo globalizado. Revista Gestión y Desarrollo, 8(1), 209-216.
Proaño, W., & Ramírez, F. (2017). Modelo de desarrollo turístico sostenible para cantones costeros: herramienta para actores locales de Manabí, Ecuador. Revista Posgrado y Sociedad, 15(2), 65-78. Recuperado de https://revistas.uned.ac.cr/index.php/posgrado/article/view/1965/2211
Rosales-Borbon, F. J., Alejandro-Lindao, M. F., Alejandro-Lindao, C. A., & Toro-Alava, W. J. (2017). Sistema contable en la gestión administrativa de las Mipymes de la Provincia de Santa Elena, año 2016. Revista de Negocios & PyMES, 3(10), 33-43.
Rubio, G., Parra, M., & Cática, J. R. (2018). Empresarios hechos a pulso: Caso emprendimiento Chucula la Abuela. Revista EAN (84), 189-207. Recuperado de https://journal.universidadean.edu.co/index.php/Revista/article/view/1924/1741
Sistema de Rentas Internas (SRI). (2018). Estadísticas de Manabí. Informe de estadísticas de recaudación de contribuyentes de la Provincia. Portoviejo: SRI.
Trujillo, E., Gamba, M., & Arenas, L. (2016). Las dificultades de las Pymes en América Latina y Colombia para lograr ser competitivas y sostenibles. Colombia: Universidad de Bogotá Jorge Tadeo Lozano.
Zapata, E. E. (2004). Las PyMES y su problemática empresarial. Análisis de casos. Revista Escuela de Administración de Negocios (52), 119-135. Recuperado de http://www.redalyc.org/articulo.oa?id=20605209

