Dossier
Recepción: 01 Noviembre 2019
Aprobación: 01 Mayo 2020
Publicación: 01 Agosto 2020
Resumen: La cuenca del arroyo El Pescado, ubicada en el noreste bonaerense, desde principios de siglo atraviesa un proceso de cambio en el uso del suelo. El objetivo del trabajo fue realizar un diagnóstico sobre la distribución y cuantificación de elementos traza en el recurso hídrico de la cuenca, en relación con los diferentes usos del agua. Se utilizó una red de monitoreo de agua superficial y agua subterránea somera y profunda. Se determinó el contenido de elementos traza mediante un equipo ICP-MS. Las mayores concentraciones de elementos traza correspondieron al agua subterránea somera y las menores al agua subterránea profunda. En el acuífero freático el As y el Fe superaron los límites permitidos para abastecimiento de agua potable. En tanto que el V y el Zn superaron los límites para uso agropecuario en el acuífero freático y agua superficial. En las aguas superficiales el Cu, Pb y Zn excedieron los límites de protección para la vida acuática en todos los sitios, mientras que el V sólo en la cuenca media y parte de la cuenca baja.
Palabras clave: Oligoelementos, Cuenca de llanura, Calidad del agua, Metales pesados.
Abstract: The watershed of El Pescado Creek, located in the northeast of the Buenos Aires province, has been undergoing a process of land use change since the beginning of this century. The aim of this work was to evaluate the distribution and concentration of trace elements in the water resource, with regard to different water uses. We used a monitory network for surface water and groundwater (including deep and shallow groundwater wells). Trace element content was determined by inductively coupled plasma mass spectrometry (ICP-MS). The highest trace element concentrations corresponded to shallow groundwater and the lowest concentrations to deep groundwater. Regulatory limits of As and Fe for drinking water were exceeded in the phreatic aquifer. Moreover, V and Zn limits for livestock consumption were exceeded both in the phreatic aquifer and in surface water. In all sampling sites along the watershed, concentration of Cu, Pb and Zn exceeded limits for protection of aquatic life in surface water; meanwhile V concentration only exceeded established limits in the middle watershed and part of the lower watershed.
Keywords: Trace elements, Flatland watershed, Water quality, Heavy metals.
Resumo: A bacia do arroio El Pescado, localizada no nordeste de Buenos Aires, passa por um processo de mudança no uso do solo desde o início do século. O objetivo do trabalho foi realizar um diagnóstico sobre a distribuição e quantificação de elementos traço nos recursos hídricos da bacia, em relação aos diferentes usos da água. Foi utilizada uma rede de monitoramento de águas superficiais e subterrâneas rasas e profundas. O conteúdo de elementos traço foi determinado por meio de um aparelho de ICP-MS. As maiores concentrações de elementos traço corresponderam às águas subterrâneas rasas, e as menores às profundas. No lençol freático, As e Fe excederam os limites permitidos para o abastecimento de água potável. Já V e Zn excederam os limites para uso agropecuário no lençol freático e nas águas superficiais. Nas águas superficiais, Cu, Pb e Zn excederam os limites de proteção para a vida aquática em todas as localidades, enquanto V excedeu apenas na bacia média e parte da bacia baixa.
Palavras-chave: Elementos traço, Bacia de planície, Qualidade da água, Metais pesados.
Introducción
En las cuencas hidrográficas los cambios en el uso de la tierra conducen a modificaciones en la dinámica y química del agua superficial y subterránea (Wei et al., 2013). En relación a la química del agua, el crecimiento de las áreas ocupadas por cultivos o por producciones pecuarias puede conducir a cambios asociados a un aumento tanto en iones mayoritarios, como en elementos trazas. En condiciones naturales el aporte de éstos últimos al agua deriva de la interacción con los minerales de los sedimentos. En cambio, en áreas urbanizadas o con producciones agropecuarias, estas actividades pueden constituir un aporte extra de elementos trazas disueltos en el agua (Appelo & Postma, 2005).
La cuenca del arroyo El Pescado, ubicada en el noreste de la provincia de Buenos Aires (Fig. 1), ha sido declarada como Paisaje Protegido de Interés Provincial (Ley provincial 12247) debido a su buen grado de conservación; de este modo, las actividades desarrolladas por el hombre dentro de su territorio deberían tender a provocar el mínimo impacto posible dentro del sistema. A pesar de ello, dentro de la cuenca se evidencia la expansión de las producciones bajo invernáculo en la cuenca alta y el desarrollo de urbanizaciones en la cuenca media (Delgado et al., 2018). Una década atrás, el Cinturón Hortícola Platense (CHP) ocupaba más de 36.000 ha (Frediani, 2009). En los últimos años este Cinturón se ha expandido hacia el Oeste y Noroeste (Cieza et al., 2015) y más recientemente hacia el Sur y Sudoeste (Delgado et al., 2017), ocupando actualmente áreas que antes sólo tenían agricultura y ganadería extensiva. A nivel regional, en los sectores de cuenca media y alta, el acuífero freático es utilizado en el abastecimiento para riego, consumo humano, industria y ganado (Auge, 2004), por lo que preservar la calidad del recurso hídrico subterráneo es fundamental para la sustentabilidad. Además, entre las diversas actividades que el hombre realiza dentro de la cuenca, una de las vinculadas directamente al recurso hídrico superficial se relaciona al acceso del ganado al curso de agua, el cual se da a lo largo de toda la cuenca. Este acceso irrestricto además de afectar a la dinámica natural del curso de agua (produciendo por ejemplo erosión sobre los márgenes del cauce y aumentando así el contenido de sedimentos presentes en el mismo), puede representar a su vez un riesgo para la salud del propio ganado.
Existen diversos antecedentes vinculados a las características químicas del agua en esta región del noreste bonaerense, pero, a escala de cuenca hidrográfica y a pesar de su importancia, el contenido de elementos traza suele ser una variable escasamente analizada. Si bien las características químicas del recurso hídrico de la cuenca del arroyo El Pescado han sido estudiadas previamente (Laurencena et al., 2001; Kruse et al., 2003; Bazán et al., 2011; Carol et al., 2012; Delgado et al., 2018), a la fecha no se han registrado dentro de su territorio estudios que aborden la determinación y cuantificación de este tipo de elementos en el agua. Es en este contexto, que el objetivo del trabajo fue realizar un diagnóstico preliminar sobre la distribución y cuantificación de elementos traza en el agua superficial y subterránea de la cuenca del arroyo El Pescado, en relación con la calidad del agua para los diferentes usos del recurso presentes en la misma.

Área de estudio
La cuenca del arroyo El Pescado ocupa un área de 349 km2, desarrollándose la cuenca alta y media en un ambiente de planicie loéssica, con una elevación topográfica entre los 5 y los 30 msnm, mientras que la cuenca baja se ubica sobre la planicie costera del Río de la Plata, con elevaciones generalmente menores a los 2,5 msnm (Carol et al., 2012). En la cuenca alta los cursos tienden a estar bien definidos, con un ancho menor a los 5 m; en tanto que aguas abajo, la planicie de inundación del arroyo puede extenderse hasta los 500 m de ancho. En la planicie costera el curso de agua se torna divagante, perdiéndose dentro de un área deprimida con antiguos canales de marea que actualmente conforman un bañado (Auge, 2005).
El acuífero freático en la cuenca alta y media se ubica sobre sedimentos loéssicos, los que tienen un espesor de 45 m en la cuenca alta, disminuyendo hasta valores menores a los 10 m en la zona próxima al Río de la Plata. Por su parte, en la cuenca baja el agua freática se aloja en los sectores más superficiales en los sedimentos limo-arcillosos de la planicie costera, los cuales presentan espesores cercanos a 5 m, y en profundidad en los sedimentos loéssicos subyacentes previamente mencionados. La recarga ocurre por infiltración del agua de lluvia preferentemente en la zona de cuenca alta y media debido a la mayor permeabilidad de los sedimentos loéssicos (Kruse et al., 2013). El flujo subterráneo regional sigue una dirección noreste, encontrándose la napa freática a más de 15 m de profundidad en la cuenca alta y a menos de 1 m de profundidad en la cuenca baja, contando con un gradiente hidráulico que varía entre los 1,8 y los 0,5 m/km (Carol et al., 2012). La descarga subterránea a escala regional ocurre hacia el Río de la Plata, mientras que localmente el agua subterránea descarga en el arroyo.
En esta región el clima se caracteriza como templado húmedo, con una temperatura media anual de 16 °C y una precipitación media anual de 1.025 mm (período 1970–2016). Según estudios previos que analizan el balance hídrico anual para este período (Delgado et al., 2018), la precipitación predomina por sobre la evapotranspiración, a pesar de lo cual suelen ocurrir déficit hídricos entre los meses de noviembre y febrero.
Materiales y Métodos
Se estableció una red de monitoreo (Fig. 1) que comprende sitios de muestreo de agua superficial y subterránea freática somera y profunda (Tabla 1). En el caso del agua subterránea se tomaron muestras de perforaciones someras realizadas hasta 4 m de profundidad en las cercanías del cauce y de agua subterránea profunda procedente de perforaciones preexistentes en predios particulares que captan entre 30 y 45 m de profundidad. Se establecieron 8 sitios de muestreo, de acuerdo con la accesibilidad desde los caminos al arroyo: tres dentro de la zona de cuenca alta donde predominan los usos hortícola y ganadero; tres en la cuenca media donde predomina el uso ganadero extensivo, y dos en la cuenca baja donde se realizan distintas actividades ganaderas (Tabla 1). Por otro lado, en la cuenca media y baja es frecuente el uso recreativo en las proximidades de los cursos de agua.
Se realizó un muestreo en diciembre de 2017 midiendo en campo con equipo multiparamétrico Horiba U10, el pH y conductividad eléctrica (CE) del agua. Previo a lo toma de muestra las perforaciones fueron purgadas extrayéndose con bailer (en el caso de pozos someros) y bombeando el pozo (en los profundos) el volumen de agua que podría estar estancada en el pozo de modo que la muestra representara el agua que ingresa desde el acuífero a la perforación. Las muestras de agua para análisis de iones mayoritarios y elementos traza fueron conservadas en laboratorio al abrigo de la luz. Se realizaron determinaciones de calcio (Ca2+) y magnesio (Mg2+) por volumetría, calculándose a partir de éstos la dureza del agua (APHA, 1998). Las muestras se filtraron y acidificaron para la determinación de arsénico (As), cobre (Cu), hierro (Fe), manganeso (Mn), níquel (Ni), plomo (Pb), vanadio (V) y zinc (Zn) mediante un equipo ICP-MS (límite de detección 0,001 ppb). Todas las determinaciones se efectuaron en el Laboratorio de Geoquímica del Centro de Investigaciones Geológicas (CONICET-UNLP). Los valores obtenidos para los distintos elementos traza se compararon con los límites establecidos por la legislación argentina para los distintos usos del recurso hídrico, de acuerdo a la Ley 24051 y el Código Alimentario Argentino (CAA, 2012), de acuerdo con los usos que tiene cada tipo de agua (superficial, subterránea somera y subterránea profunda) en la cuenca (Tabla 2).
La relación entre las concentraciones de elementos traza y las características de dureza y conductividad eléctrica del agua se analizaron mediante un análisis de los componentes principales (ACP) realizado a partir de la matriz de correlación obtenida de los datos estandarizados. Se seleccionaron los componentes principales con autovalores mayores a 1,5. El análisis de los datos se efectuó con el software libre PAST (Hammer et al., 2001).

No se obtuvo muestra de agua superficial en el sitio 6, debido a que al momento del muestreo el cauce se encontraba seco.
La caracterización edáfica en unidades cartográficas (UC) se basó en CISAUA (2006):
GI-3: abarca los suelos de planicies aluviales del arroyo El Pescado y afluentes. Comprende los suelos ubicados sobre planicies de inundación o áreas adyacentes del arroyo y sus afluentes. Estos suelos tienen fuerte desarrollo, generalmente con horizonte Bt bien expresados y rasgos vérticos. Tienen rasgos hidromórficos bien marcados, moteados y concreciones en superficie, junto a horizontes gleizados en profundidad por presencia de niveles freáticos elevados gran parte del año. En las nacientes de los arroyos los suelos tienden a tener tenores bajos de sodio intercambiable, que se incrementa aguas abajo, apareciendo con mayor frecuencia suelos sódicos.
Nv2: incluye pendientes suaves y muy extensas. Suele presentar franjas ligeramente deprimidas, con suelos erosionados a raíz de la baja estabilidad estructural (sodio), la escasa cobertura vegetal y la baja velocidad de infiltración. Los suelos erosionados tienen el horizonte A delgado o ausente y los horizontes B, aflorantes o cercanos a la superficie, son sódicos; además son susceptibles a anegamiento prolongado.
Nv4: se encuentra constituida por pendientes muy suaves y largas que conectan interfluvios convexos con la planicie aluvial del arroyo El Pescado. La unidad tiene restricciones para la agricultura por el drenaje deficiente y exceso de sodio intercambiable en la mayoría de los suelos.
GI-5: representa un grupo indiferenciado de suelos de planicies aluviales de las áreas de origen mixto y estuárico-marino. Son frecuentes las discontinuidades litológicas e intercalaciones de sedimentos marinos y de horizontes sódicos, a lo que se suman niveles elevados de sales solubles.
La unidad tiene muy graves limitaciones para el uso agropecuario por la susceptibilidad al anegamiento e inundación y por el carácter sódico-salino de muchos de los suelos.

Resultados
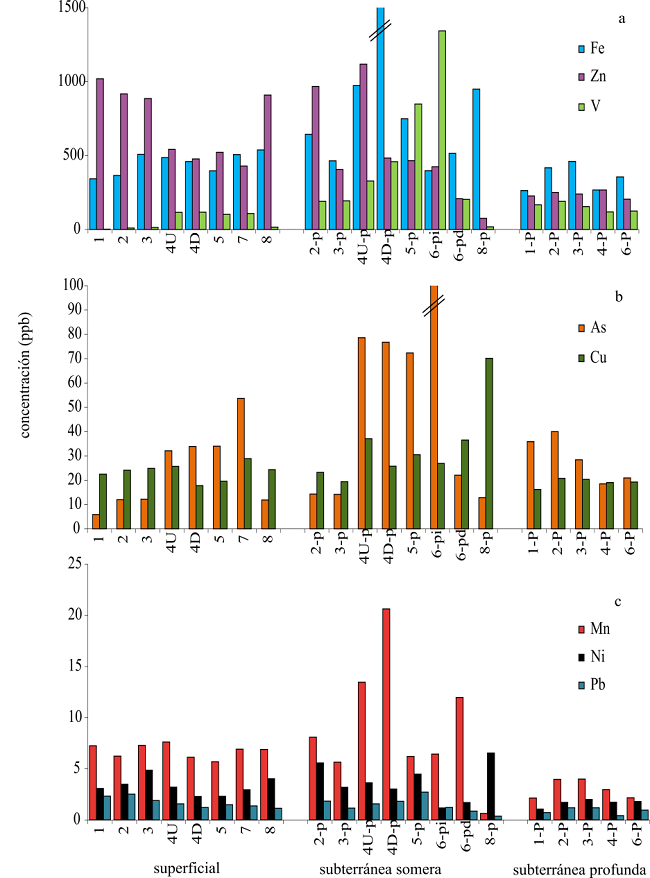
Los valores de pH registrados en la cuenca tuvieron poca variabilidad, mientras que la CE y la dureza presentaron mayor variabilidad (Tabla 3). En general el contenido de los elementos traza es menor en el agua subterránea profunda, observándose los mayores valores en el agua subterránea somera y presentando el agua superficial valores intermedios. Las excepciones a este comportamiento se registran en el V, el cual presenta sus valores mínimos en el agua superficial en toda la cuenca (Fig. 2). No se encuentran tendencias claras en cuanto a que la variación en la abundancia de los elementos traza esté asociada a la distribución espacial de los sitios de muestreo a lo largo de la cuenca.

El Análisis de los Componentes Principales (ACP) explica mediante los tres primeros componentes el 79,5 % de la varianza total. El CP1 (33,41 % de la varianza) se correlaciona positivamente con la CE, la dureza y el Cu, y negativamente con el Mn, Pb y Zn. El CP2 (23,03 % de la varianza) se correlaciona en forma positiva con todas las variables excepto el As. Este componente reúne principalmente la variabilidad dada por Cu, Fe, Mn, Ni y Zn, mientras que el As y V tienen correlaciones muy bajas con este eje. Estos dos últimos elementos son los que explican la mayor parte de la variabilidad del CP3 (21,25 % de la varianza), a la cual en menor medida también contribuye el Zn (Fig. 3a, b y c).

La ordenación de los casos en el espacio multidimensional generado por el ACP muestra que los datos provenientes de las muestras de agua subterránea profunda no se relacionan cercanamente con los de agua subterránea somera ni con los de agua superficial. Es decir que la composición química del agua subterránea profunda no estaría asociada a las variaciones en la composición del agua subterránea somera o superficial en los casos analizados. Por otro lado, en la Figura 4a se puede observar la mayor variabilidad en la composición química del agua subterránea somera, que presenta en algunos casos características similares a las del agua superficial, pero en otros no. Especialmente se destaca la diferencia en el caso del pozo somero 8 correspondiente a la planicie costera y que se aleja de los demás tanto por su mayor dureza y CE, como por la mayor abundancia de los componentes traza expresados en el CP2.
Una vez despejado el efecto de la dureza y la CE se puede observar una mejor separación entre los tres tipos de muestras (Fig. 4b). Esta ordenación está dada por una combinación del efecto de las concentraciones de la mayor parte de los elementos traza por un lado (CP2) y por las particularidades de los casos puntuales de mayor abundancia de As y V que se manifiestan en el CP3, independientemente de las restantes variables.


En relación a las concentraciones de los elementos traza, se observa que algunos presentan valores más elevados que el límite establecido para los distintos usos del suelo que se desarrollan en la cuenca. En las muestras de agua subterránea más profundas los valores de As (28,8 ± 9,3 ppb) excedieron en todos los casos los límites permitidos para consumo humano, aunque no representan una limitación para su uso en irrigación y consumo del ganado (Tabla 4). El Fe (352,9 ± 88,2 ppb) excedió el límite establecido para consumo humano en tres de las cinco perforaciones, encontrándose un valor máximo de 461 ppb. Sin embargo, la concentración de Fe no sería una limitante para la irrigación. En cuanto al consumo por ganado, no se encuentra un límite establecido en la legislación para este elemento. El V (151,2 ± 30,1 ppb) excede en todos los sitios el límite establecido para irrigación y para consumo del ganado, registrándose un valor máximo de 190,5 ppb en la zona de cabecera (sitio 2-P). Respecto de este elemento, no existe en la legislación argentina un límite establecido para consumo humano. Por su parte, el contenido de Zn registrado en las perforaciones profundas (237,7 ± 23,5 ppb) excedió en todos los casos el límite permitido para consumo por parte del ganado, aunque su concentración sí se encuentra dentro de los límites establecidos para consumo humano y para irrigación.
De acuerdo a la legislación vigente, en el agua subterránea obtenida a partir de los perforaciones profundas, el contenido de los restantes elementos traza analizados (Cu, Ni, Pb y Mn) no presenta restricciones para su utilización con destino a consumo humano, consumo animal o irrigación (Tabla 4).
Por su parte, en el agua subterránea somera, la concentración de As (66,33 ± 76,03 ppb) y la de Fe (971,38 ± 877,9 ppb) superan los límites establecidos para consumo humano en todos los sitios. Además, el As excede el valor establecido para su uso en irrigación en un solo sitio (6-pi: 239 ppb). En todos los casos las concentraciones de V (447,9 ± 439,0 ppb) y de Zn (518,5 ± 354,6 ppb) superan el límite establecido para consumo por parte del ganado. El V además sobrepasa en todos los casos el límite para irrigación. Los restantes elementos traza (Cu, Ni, Pb y Mn) se encuentran dentro de los niveles permitidos para uso agropecuario y consumo humano (Tabla 4).
Por último, en el agua superficial la concentración de As (23,0 ± 16,0 ppb) no supera el nivel guía establecido para la preservación de la vida acuática, a excepción del sitio 7 (53,6 ppb). El V (54,6 ± 53,7 ppb) excede el valor límite establecido para la protección de la vida acuática, el consumo del ganado y la irrigación en todos los sitios de la cuenca media y en un sitio de la cuenca baja (sitios 4U, 4D, 5 y 7). El Zn (721,1 ± 226,7 ppb) supera en todos los casos el valor guía para la protección de la vida acuática y el límite para el agua de bebida del ganado. Las concentraciones de Cu (23,4 ± 3,3 ppb) y Pb (1,73 ± 0,5 ppb) exceden en todos los casos los valores guía establecidos para la protección de la vida acuática.
No se encuentran restricciones vinculadas a los contenidos de Ni y Mn, ya que en ninguna oportunidad el contenido determinado en aguas superficiales superó al establecido por ley para irrigación, bebida del ganado y protección de la vida acuática. El Fe se encuentra dentro de los valores permitidos para irrigación y no se encuentra legislada su concentración respecto de los otros usos del agua superficial en la cuenca (Tabla 4).

Discusión
Los resultados presentados en este trabajo constituyen una primera caracterización de la calidad del agua en la cuenca del arroyo El Pescado en cuanto al contenido de elementos traza y su distribución espacial en el agua superficial y subterránea a distintas profundidades. El contenido de dichos elementos es menor en el agua subterránea profunda, correspondiendo los valores intermedios al agua superficial y los mayores valores al agua subterránea somera.
Las concentraciones de elementos traza halladas en este trabajo en el agua subterránea son similares a los valores obtenidos para el mismo acuífero en otras cuencas de la Llanura Pampeana, donde también se registran menores concentraciones en perforaciones que extraen a mayor profundidad (Zabala et al., 2016; Borzi et al., 2019). Algunos de estos elementos se relacionan a un origen geogénico producto de la disolución de los minerales que componen los sedimentos loéssicos que contienen al acuífero freático. Particularmente As y V se asocian a la disolución de las trizas volcánicas y/o desorción desde óxi-hidróxidos de hierro, característica que ocurre preferentemente en condiciones levemente alcalinas (Smedley et al., 2005; Hasan et al., 2008; Reza et al., 2010; Borzi et al., 2019). Dentro de los restantes elementos traza analizados, los metales pesados podrían asociarse a aportes desde fuentes antrópicas producto de los distintos usos del suelo. Sin embargo los contenidos en Cu, Ni y Pb determinados en todos los sitios son bajos y se asemejan a los valores establecidos como fondo químico en otras cuencas del noreste bonaerense (Zabala et al., 2016; Borzi et al., 2019). Esto estaría indicando que los cambios introducidos en el uso del suelo no constituyen una alteración en el contenido de dichos metales pesados en el agua. Sin embargo, es importante considerar que bajo las condiciones de pH determinadas y sin registrarse condiciones reductoras, estos elementos tenderían a estar asociados a los sedimentos, por ejemplo como metales adsorbidos a las fases arcillosas (Hem, 1985).
Las concentraciones de As encontradas en aguas superficiales del arroyo El Pescado (5,9 - 53,6 ppb) se ubican dentro del rango reportado en la Región Pampeana (5 - 125,3 ppb) por Rodríguez Castro et al. (2017). En particular el arroyo Juan Blanco, cercano al arroyo El Pescado pero mucho menos antropizado, presentó según estos autores valores de 5 ppb. En cuanto al V, los valores hallados por otros autores para la Llanura Pampeana van desde 9 a 1715 ppb (Pérez-Carrera & Fernández Cirelli, 2013), por lo que los valores presentados en este trabajo quedan comprendidos en este rango. En cuencas más poluidas del noreste bonaerense como la del río Matanza Riachuelo los valores de elementos traza encontrados en el agua han sido mucho mayores (Magdaleno et al., 2001), especialmente para el Cu (110 - 113 ppb), el Fe (3000 – 11.000 ppb) y el Pb (130 - 220 ppb), aunque las concentraciones de Zn (80 - 114 ppb) fueron mucho menores que en la cuenca del arroyo El Pescado.
Las elevadas concentraciones de Zn halladas en el arroyo El Pescado pueden relacionarse con condiciones locales encontradas por otros autores en la zona de estudio. Aunque no se cuenta con valores de Zn en el agua superficial de arroyos cercanos, Ocón & Rodriguez Capítulo (2012) han encontrado que el Zn es el elemento traza más abundante en el sedimento de las cuencas adyacentes correspondientes a los arroyos Juan Blanco y Buñirigo. Por otra parte, Camilión et al. (2003) han reportado valores de Zn siempre mayores a los otros elementos traza en sedimentos de los arroyos del gran La Plata y en los suelos de la región, y explican el aporte desde los suelos por escorrentía hacia los arroyos. A su vez, esto podría justificar que los contenidos de As, V, Zn y Cu sean mayores en el agua subterránea somera (directamente relacionada con suelos y sedimentos) a los que se encuentran en los cursos de agua y en las captaciones más profundas.
Los valores de la legislación argentina se basan en las Guías Canadienses para la Calidad del Agua (CWQG, 1987) y no hacen ninguna aclaración sobre otros parámetros de la calidad del agua que modifiquen la toxicidad o biodisponibilidad de los metales pesados. Sin embargo, en los fundamentos de la norma canadiense se señala el aumento en los niveles guía para algunos elementos (Cu, Pb y Zn) a medida que aumenta la dureza del agua. Teniendo en cuenta esta consideración, los valores de Pb hallados en el arroyo El Pescado serían aceptables para la vida acuática, excepto en los sitios de cabecera, donde la dureza es menor y los valores de Pb son mayores.
Se destaca que el V excede los límites recomendados en el uso para irrigación, ganado y vida acuática superficial, y en cambio no hay límite establecido para el consumo humano en el agua de bebida. Este elemento presenta un riesgo potencial de transmitirse a través de la cadena agroalimentaria (Gummow et al., 2005), por lo cual es importante controlar la acumulación que se produce en niveles tróficos inferiores que puede conducir a la biomagnificación del elemento a través de la red trófica del ecosistema. Asimismo, para algunos metales pesados los límites permitidos para irrigación son menores que los permitidos para el agua de bebida del ganado. Según la legislación canadiense (CWQG, 1987) esta medida se toma porque se tiene en cuenta la acumulación que se produce en el suelo a lo largo de los años debido al riego. En nuestro caso de estudio debe prestarse especial atención a la posible acumulación de metales en el suelo si se utiliza el agua subterránea somera para irrigación, ya que es la que presenta mayores concentraciones.
El Zn excede los valores guía para la vida acuática y para el ganado, que son mucho menores que para otros usos. Este es un elemento esencial en muchas reacciones biológicas, pero por encima de ciertos límites provoca efectos agudos y crónicos en la reproducción, en las reacciones biológicas y fisicoquímicas, y en el comportamiento (CWQG, 1987). En el ganado este elemento puede conducir a una deficiencia secundaria de cobre y a menores tasas de crecimiento (Weiss, 2008). En invertebrados, se ha demostrado que con concentraciones desde 0,1ppb producen alteraciones en los patrones de reproducción (Timmermans, 1993). En peces e invertebrados interfiere con la toma de calcio y en elevadas concentraciones puede causar hipoxia, acidosis y fallas en la osmoregulación, y llega a provocar la muerte de los organismos (CWQG, 1987).
Conclusiones
Este trabajo constituye una primera aproximación a la caracterización del contenido de elementos traza en el recurso hídrico superficial y subterráneo dentro de la cuenca del arroyo El Pescado. Se destaca la relevancia de realizar monitoreos en la zona, ya que a pesar de haber sido incluida dentro de la categoría de Paisaje Protegido, esta cuenca está atravesando un notable proceso de transformación territorial que podría incidir en la calidad del agua subterránea y superficial. Contar con esta información de base permitirá establecer lineamientos que aporten al diseño de estrategias de intervención tendientes a alcanzar un manejo sustentable de la cuenca, colaborando en mitigar o minimizar los posibles impactos negativos generados a partir de la acción del hombre.
A través del análisis estadístico se ha establecido que la composición química del agua subterránea profunda no estaría asociada a las variaciones en la composición del agua subterránea somera o superficial en los casos analizados. Es destacable que en esta región, donde prácticamente no existe abastecimiento de agua de red, se pudo detectar que en todos los casos el As y el Fe excedieron el límite establecido para consumo humano en el agua subterránea. Incluso, la problemática adquiere aún mayor relevancia al considerar que en algunas ocasiones, por razones de costo, los pobladores tienden a extraer agua desde pozos poco profundos, donde las concentraciones de elementos traza son mayores.
Con respecto a los usos agropecuarios (riego y bebida para el ganado) se recomienda realizar análisis de rutina en los establecimientos agrícola-ganaderos dado que algunos parámetros (V y Zn) excedieron los límites permitidos, y por lo tanto podrían desencadenar problemas productivos tanto en el corto como en el mediano y largo plazo.
Por último, en lo concerniente a la protección de la vida acuática en el curso de agua superficial, también se recomienda continuar monitoreando el contenido de elementos traza (principalmente Cu, Pb, Zn y V) a lo largo del cauce, teniendo en cuenta los factores moderadores como la dureza.
Agradecimientos
Se agradece a los revisores y editores de la Revista por sus valiosas sugerencias para mejorar el manuscrito.
La realización del presente trabajo ha sido financiada por el Proyecto PICT 2015-2778 de la Agencia Nacional de Promoción Científica y Tecnológica y por el Proyecto I+D N843 de la SECyT-UNLP, dependiente del Ministerio de Educación de la Nación.
Referencias bibliográficas
APHA - American Public Health Association. (1998) Standard Methods for the Examination of Water and Wastewater. Twentieth ed. American Public Health Association, American Water Works Association, Water Environment Federation, Washington, DC.
Appelo, C. & Postma, D. (2005) Geochemistry, Groundwater and Pollution. 2nd ed. Balkema Publishers, Rotterdam.
Auge, M. (2004) Vulnerabilidad a la contaminación por nitratos del acuífero Puelche en La Plata, Argentina. CEAL, Buenos Aires.
Auge, M. (2005) Hidrogeología de La Plata, provincia de Buenos Aires. Relatorio del XVI Congreso Geológico Argentino, pp. 293-311.
Bazán, J.M., Alberino, J.C., Varriano, N., Cariello, J., Kruse, E., Rojo, A., Deluchi, M. & Laurencena, P. (2011) “Cuencas del arroyo El Pescado y del Gato en los partidos de La Plata, Berisso y Ensenada.” Tercera Reunión Anual PROIMCA Primera Reunión Anual PRODECA.Mendoza. 11 pp. http://sedici.unlp.edu.ar/handle/10915/26619.
Borzi, G., Tanjal, C., Santucci, L. & Carol, E. (2019) “Geochemical mechanisms controlling the isotopic and chemical composition of groundwater and surface water in a sector of the Pampean plain (Argentina)”, Science of the Total Environment, 683, pp. 455-469. https://doi.org/10.1016/j.scitotenv.2019.05.168.
Camilión, M.C., Manassero, M.J., Hurtado, M.A. & Ronco, A.E. (2003) “Copper, lead and zinc distribution in soils and sediments of the south-western coast of the Río de la Plata Estuary”, J Soils & Sediments 3, pp. 213-220. https://doi.org/10.1065/jss2003.04.073.
Carol, E., Kruse, E., Laurencena, P., Rojo, A., & Deluchi, M. (2012) “Ionic exchange in groundwater hydrochemical evolution. Study case: the drainage basin of El Pescado creek (Buenos Aires province, Argentina)”, Environmental Earth Sciences 65, pp. 421-428. https://doi.org/10.1007/s12665-011-1318-z.
Cieza, R., Ferraris, G., Seibane, C., Larrañaga, G. & Mendicino, L. (2015) “Aportes a la caracterización de la agricultura familiar en el Partido de La Plata”, Rev. Fac. Agron. La Plata 114, pp. 129-142.
CISAUA (2006) Centro de Investigaciones de Suelos y Aguas de Uso Agropecuario. Análisis ambiental del partido de La Plata: Aportes al ordenamiento territorial. 1ª ed, Buenos Aires, Consejo Federal de Inversiones. 124 pp.
Código Alimentario Argentino (CAA) (2012) Bebidas Hídricas, Agua y Agua Gasificadas. Artículos: 982 al 1079. Actualizado al 10/2012.
CWQG (1987) Canadian Water Quality Guidelines. Canadian Council of Resource and Environment Ministers. Ottawa, Environment Canada. https://www.ccme.ca/files/Resources/supporting_scientific_documents/cwqg_pn_1040.pdf
Delgado, M.I., Carol, E., Mac Donagh, M.E. & Casco, M.A. (2017) “Análisis interdisciplinario de una cuenca con creciente actividad antrópica (Arroyo El Pescado, Buenos Aires)”, IV Congreso PRODECA. Bahía Blanca. 10p. https://www.frbb.utn.edu.ar/prodeca-proimca/
Delgado, M.I., Carol, E., Casco, M.A., Mac & Donagh, M.E. (2018) “The Peri-Urban Interface: Hydrological Effects of Anthropogenic Pressure”, Pollution Research 37, pp. 91-99.
Frediani, J.C. (2009) “Las nuevas periferias en el proceso de expansión urbana. El caso del partido de La Plata”, Geograficando 5 (5), pp. 103-125.
Gummow, B., Botha, C.J., Noordhuizen, J.P.T.M. & Heesterbeek, J.A.P. (2005) “The public health implications of farming cattle in areas with high background concentrations of vanadium”, Preventive Veterinary Medicine 72, pp. 281–290. https://doi.org/10.1016/j.prevetmed.2005.07.012.
Hammer, O., Harper, D.A.T., Ryan, P.D. (2001) PAST: Paleontological Statistics software package for education and data analysis. Paleontologica Electrónica 4(1): 9p https://folk.uio.no/ohammer/past/
Hasan, M.A., Bhattacharya, P., Sracek, O., Ahmed, K.M., von Brömssen, M. & Jacks, G. (2008) “Geological controls on groundwater chemistry and arsenic mobilization: hydrogeochemical study along an E–W transect in the Meghna basin, Bangladesh”, J. Hydrol, 378, pp. 105-118. https://doi.org/10.1016/j.jhydrol.2009.09.016
Hem, J.D. (1985) “Study and Interpretation of the Chemical Characteristics of Natural Water”, Department of the Interior, US Geological Survey 2254.
Kruse, E., Laurencena, P., Deluchi, M., Varela, L., Albina, L. & Rosales, E. (2003) “Relación hidroquimica superficial – subterránea en cuencas de llanura. Noreste de la provincia de Buenos Aires”, III Congreso de Hidrogeología. I Seminario Hispano – Latinoamericano sobre temas actuales de la Hidrología subterránea. Rosario, Argentina. Tomo II, pp: 461- 471.
Kruse, E., Carol, E., Mancuso, M., Laurencena, P., Deluchi, M. & Rojo, A. (2013) “Recharge assessment in an urban area: a case study of La Plata, Argentina”, Hydrogeology Journal 21, pp. 1091–1100. https://doi.org/10.1007/s10040-013-0981-4
Laurencena, P., Varela, L., Kruse, E, Rojo, A & Deluchi, M. (2001) “Variaciones en la concentración de nitratos en el agua subterránea en un área del noreste de la provincia de Buenos Aires (Argentina)”, Las caras del agua subterránea. Congreso en memoria de Germán Galarza. Barcelona, España. 4p. https://digital.cic.gba.gob.ar/handle/11746/3380
Ley 24051. Sancionada el 17/2/1991. Publicada el 17/1 1992. Régimen de Desechos Peligrosos. Decreto Nacional Reglamentario 831/93. http://servicios.infoleg.gob.ar/infolegInternet/anexos/10000-14999/12830/texact.htm. Ultimo acceso 08/10/2019.
Magdaleno, A., Puig, A., de Cabo, L., Salinas, C., Arreghini, S., Korol, S., Bevilacqua, S., López, L. & Moretton, J. (2001) “Water Pollution in an Urban Argentine River” Bull. Environ. Contam. Toxicol 67, pp. 408-415. https://doi.org/10.1007/s00128-001-0139-2.
Ocón, C, & Rodriguez Capítulo, A. (2012) “Assessment of water quality in temperate-plain streams. (Argentina, South America) using a multiple approach.” Ecología Austral 22, pp. 81- 91.
Pérez Carrera, A. & Fernández Cirelli, A. (2013) “Niveles de arsénico y vanadio en aguas naturales en el Departamento de Unión, sudeste de la provincia de Córdoba, Argentina”, AUGMDOMUS 5(I) Aguas, pp. 19-28.
Reza, A.S., Jean, J.S., Lee, M.K., Liu, C.C., Bundschuh, J., Yang, H.J., Lee, J.F. & Lee, Y.C. (2010) “Implications of organic matter on arsenic mobilization into groundwater: evidence from northwestern (Chapai-Nawabganj), central (Manikganj) and southeastern (Chandpur) Bangladesh”, Water Res 44, pp. 5556–5574. https://doi.org/10.1016/j.watres.2010.09.004.
Rodríguez Castro, M.C., Marcó, L., Ranieri, M. C., Vázquez, C. & Giorgi, A. (2017) “Arsenic in the health of -ecosystems: spatial distribution in water, sediment and a: quatic biota of Pampean streams”, Environmental monitoring and assessment 189, pp. 542. https://doi.org/10.1007/s10661-017-6255-1.
Smedley, P.L., Kinniburgh, D.G., Macdonald, D.M.J., Nicolli, H.B., Barros, A.J., Tullio, J.O., Pearce, J.M. & Alonso, M.S. (2005) Arsenic associations in sediments from the loess aquifer of La Pampa, Argentina. Applied Geochemistry 20, pp. 989-1016. https:/doi.org/10.1016/j.apgeochem.2004.10.005
Timmermans, K.R. (1993) “Accumulation and effects of trace metals in freshwater invertebrates”, En: Dallinger, R. & Rainbow, P. S. Ecotoxicology of metals. Lewis Publishers, Boca Ratón, Fla.
Wei, X., Liu,W. & Zhou, P. (2013) “Quantifying the relative contributions of forest change and climatic variability to hydrology in large watersheds: a critical review of research methods”. Water 5, pp. 728-746. https://doi.org/10.3390/w5020728.
Weiss, W.P. (2008) “Mineral Tolerances of Animals”, Proceedings of Tri-State Dairy Nutrition Conference pp. 59-64. Ft. Wayne, IN. The Ohio State University, Columbus.
Zabala, M.E., Martínez, S., Manzano, M. & Vives, L. (2016) “Groundwater chemical baseline values to assess the recovery plan in the Matanza-Riachuelo River basin, Argentina”, Sci. Total Environ 541, pp. 1516-1530. https://doi.org/10.1016/j.scitotenv.2015.10.006.

